Simplify: 2(2 + 3π₯)
6π₯ + 4
Simplify: 3(5 + 5π₯)
15π₯ + 15
Simplify: 4(3π₯ β 8)
12π₯ β 32
Solve for x in the following equation:

x = 6
Solve for x in the following equation:


Solve for x in the following equation:


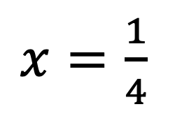
Solve for x in the following equation:


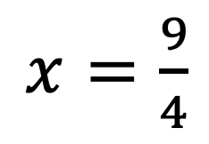
Solve for x in the following equation:


Solve for x in the following equation:


Solve for x in the following equation:


Solve for x in the following equation:


Solve for x in the following equation:


Solve for x in the following equation:


Solve for x in the following equation:


Solve for x in the following equation:


Simplify: 7(5n - 8) + 6(4 + 6n)
71n - 80
Simplify: 9(m +8) + 11(3m + 4)
42m + 116
CHALLENGE
Fill in the blank:
2(x + 7) = 2x + __
14
CHALLENGE
Fill in the blank:
4(3x + __) = 12x + 16
4
Simplify: 6(x + 1) - 5(x + 2)
x - 4