Homework 6 Flashcards

(9 cards)

1
Q

Fluence Eqn + Definition

A
How well did you know this?
1
Not at all
2
3
4
5
Perfectly
2
Q

Circular Velocity Derivation + Equation

A
How well did you know this?
1
Not at all
2
3
4
5
Perfectly
3
Q

Spacecraft Energy Equation + Conditions

A
How well did you know this?
1
Not at all
2
3
4
5
Perfectly
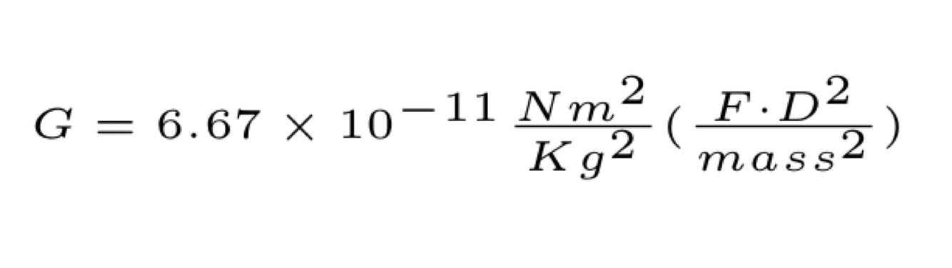
4
Q

Gravitational Constant + Units

A
How well did you know this?
1
Not at all
2
3
4
5
Perfectly
5
Q

Gravitational Parameter Equation + Units

A
How well did you know this?
1
Not at all
2
3
4
5
Perfectly
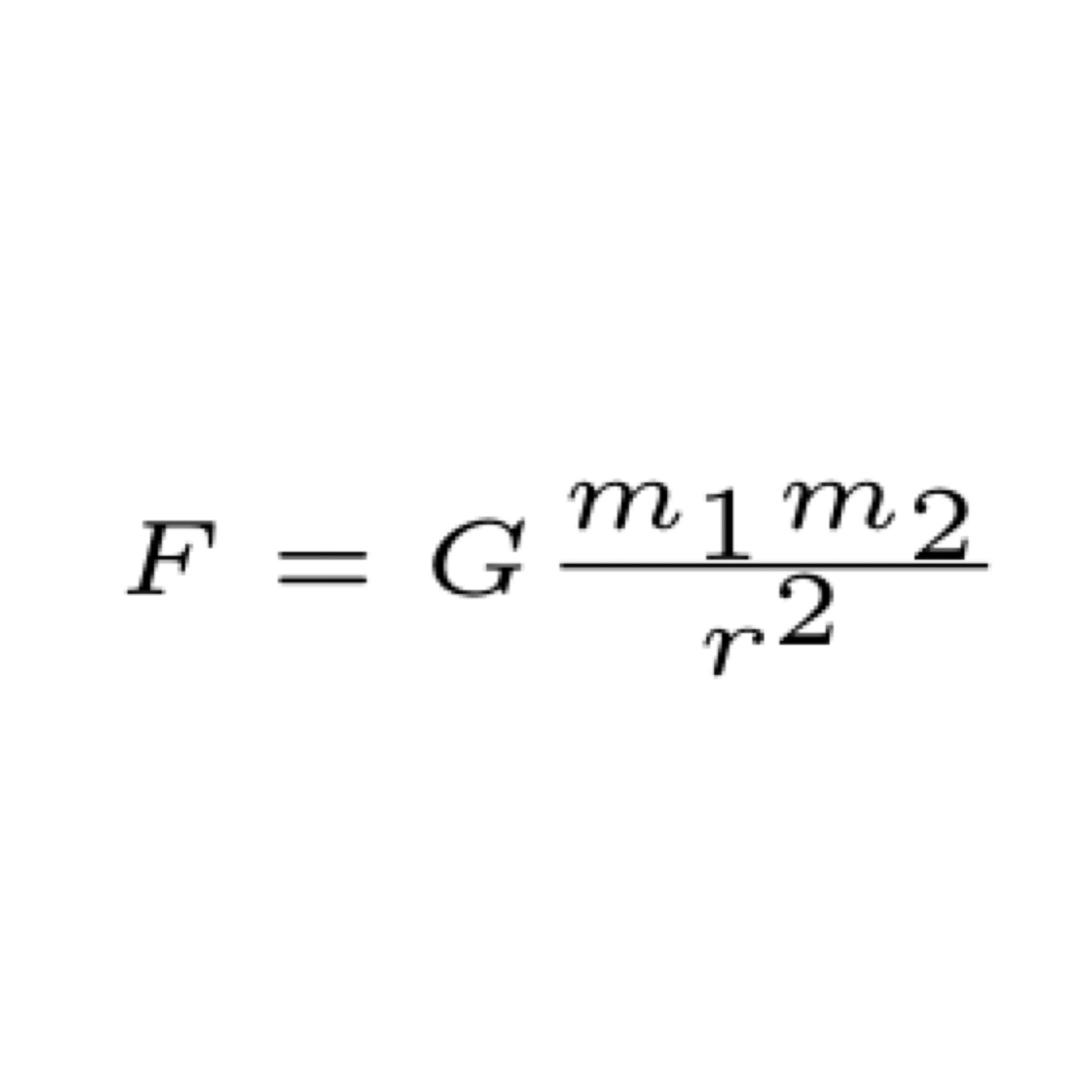
6
Q

Gravitational Force Between Two Point Masses (Equation)

A
How well did you know this?
1
Not at all
2
3
4
5
Perfectly
7
Q

Circular Orbit Velocity Equation

A
How well did you know this?
1
Not at all
2
3
4
5
Perfectly
8
Q

Earth’s Surface Velocity as a Function of Latitude

A
How well did you know this?
1
Not at all
2
3
4
5
Perfectly
9
Q

Velocity of Earth’s Equator

A
How well did you know this?
1
Not at all
2
3
4
5
Perfectly