Derivative of sinhx
coshx
Hyperbolic identities
Derivative of coshx
sinhx (NOT -sinhx)
Derivative of tanhx
sech2x
Derivative of cschx
-cschx.cothx
Derivative of sechx
-sechx.tanhx
Derivative of cothx
-csch2x
Definition of sinhx

Define coshx

Define tanhx

Define cosechx

Define sechx

Define cothx

Derivative of sinh-1x

Derivative of cosh-1x

Derivative of tanh-1x

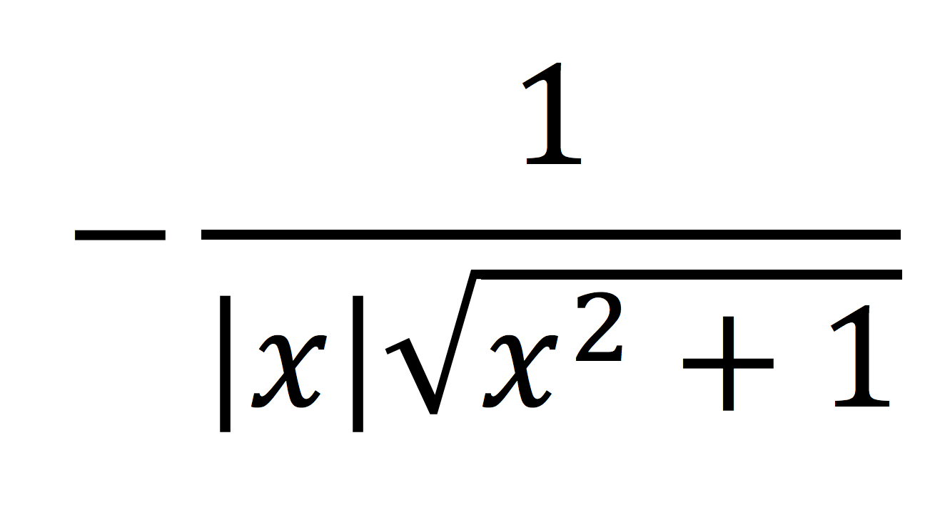
Derivative of csch-1x

Derivative of sech-1x

Derivative of coth-1x

Define sinh-1x

Define cosh-1x

Define tanh-1x
