Important Integer Series Flashcards

(3 cards)

1
Q

Geometric Series

A

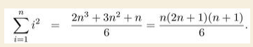
sum(i^2) = (n (2n + 1 ) ( n + 1 )) / 4

How well did you know this?
1
Not at all
2
3
4
5
Perfectly
2
Q

Arithmetic Series

A

sum(i) = n * (n + 1) / 2

How well did you know this?
1
Not at all
2
3
4
5
Perfectly
3
Q
A
How well did you know this?
1
Not at all
2
3
4
5
Perfectly