Indices Flashcards

(22 cards)

1
Q

What is the rule for indices when you are multiplying?

A

Add the indices

How well did you know this?
1
Not at all
2
3
4
5
Perfectly
2
Q

What is the rule for indices when you are dividing?

A

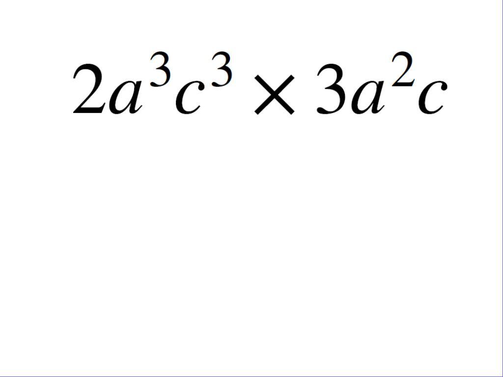
Subtract the indices

How well did you know this?
1
Not at all
2
3
4
5
Perfectly
3
Q

What is the rule for indices when you have a power of a power?

A

Multiply the indices

How well did you know this?
1
Not at all
2
3
4
5
Perfectly
4
Q

How would you evaluate the following?

A

Change the decimal into an improper fraction.

Apply the power to both numerator and denominator

(Square root first, then cube them)

How well did you know this?
1
Not at all
2
3
4
5
Perfectly
5
Q

How would you evaluate the following?

A

Change the mixed number into an improper fraction.

Apply the power to both numerator and denominator

(Cube root first, then square them)

How well did you know this?
1
Not at all
2
3
4
5
Perfectly
6
Q

How would you evaluate the following?

A

Multiply the powers
Cube root it
Raise it to the power of 4

or

Cube root the 8
Square the 2
Square the 4

How well did you know this?
1
Not at all
2
3
4
5
Perfectly
7
Q

What are the three types of indices and what do they do?

A

Negative - Flip it over (reciprocal)

Denominator - Root it

Numerator - Ordinary power

How well did you know this?
1
Not at all
2
3
4
5
Perfectly
8
Q

How do you express a calculation as a single power?

A

Change any large numbers into single powers of the required base.

Simplify by folowing the rules of indices
Multiplying = Add indices
Dividing = Subtract indices
Power of a power = Multiply indices

How well did you know this?
1
Not at all
2
3
4
5
Perfectly
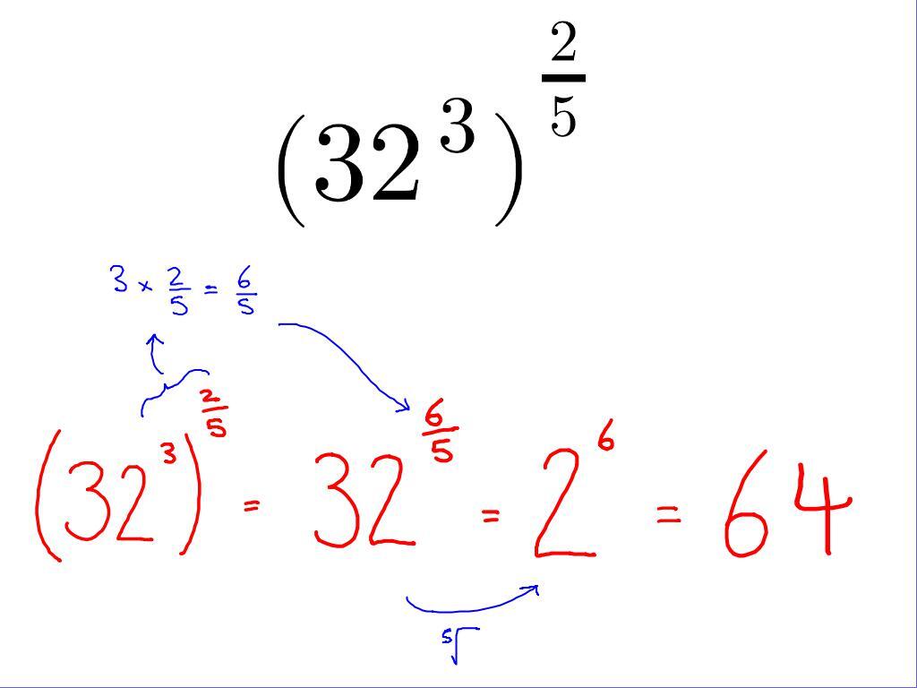
9
Q

How do you evaluate the following?

A

Multiply the powers
Fifth root it
Raise it to the power of 6

How well did you know this?
1
Not at all
2
3
4
5
Perfectly
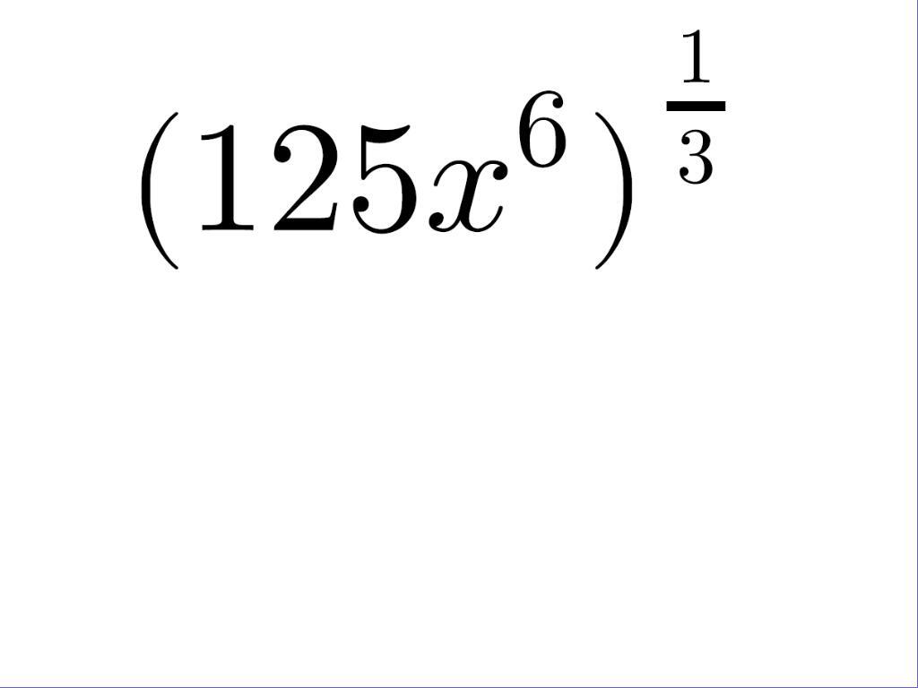
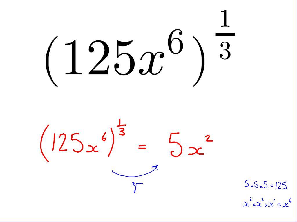
10
Q

How do you evaluate the following?

A

Cube root both the number and the x term

How well did you know this?
1
Not at all
2
3
4
5
Perfectly
11
Q

How do you evaluate the following?

A

The negative is the reciprocal (flips it)
The denominator is the 5th root
The numerator squares it (ordinary power)

How well did you know this?
1
Not at all
2
3
4
5
Perfectly
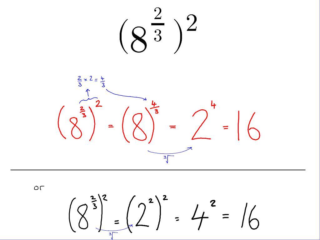
12
Q

How do you evaluate the following?

A

Square root it

How well did you know this?
1
Not at all
2
3
4
5
Perfectly
13
Q

How do you evaluate the following?

A

Cube root it
Then square it

How well did you know this?
1
Not at all
2
3
4
5
Perfectly
14
Q

How do you evaluate the following?

A

Cube root the 64
Cube the 2

Multiply the two results

How well did you know this?
1
Not at all
2
3
4
5
Perfectly
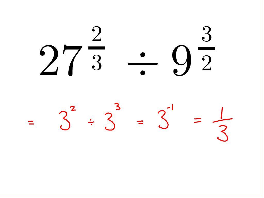
15
Q

How do you evaluate the following?

A

Cube root the 27
Square root the 9

Subtract the two powers of 3

3 to the power of -1 is the reciprocal (Flip it)

How well did you know this?
1
Not at all
2
3
4
5
Perfectly
16
Q

How do you evaluate the following?

A

The neagtive is the reciprocal (flips it)

Then square it

17
Q

How do you evaluate the following?

A

The negative is the reciprocal (flips it)

18
Q

How do you evaluate the following?

A

The indices are added and subtracted
9 + (-2) - 3 = 4

Raise the 2 to the power 4

19
Q

How do you simplify the following?

A

Multiply the numbers
Add the powers

20
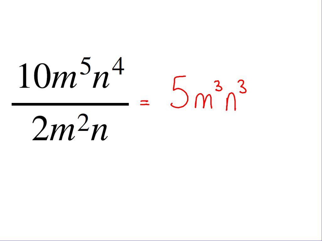
Q

How do you simplify the following?

A

Divide the numbers
Subtract the powers

21
Q

How do you express this as a single power of 3?

A

Change the 243 into base 3
(3 to the power of 5)

Change the 9 into base 3
(3 to the power of 2)
Multiply the powers
(3 to the power of 4)

Add the indices
(3 to the power of 9)

22
Q

How do you express this as a single power of 3?

A

Change the 9 & 81 into base 3

Multiply the power of powers

Add the powers on the numerator
and then subtract the denominator power