What is the rule for indices when you are multiplying?
Add the indices
What is the rule for indices when you are dividing?
Subtract the indices
What is the rule for indices when you have a power of a power?
Multiply the indices
How would you evaluate the following?
Change the decimal into an improper fraction.
Apply the power to both numerator and denominator
(Square root first, then cube them)
How would you evaluate the following?
Change the mixed number into an improper fraction.
Apply the power to both numerator and denominator
(Cube root first, then square them)
How would you evaluate the following?
Multiply the powers
Cube root it
Raise it to the power of 4
or
Cube root the 8
Square the 2
Square the 4
What are the three types of indices and what do they do?
Negative - Flip it over (reciprocal)
Denominator - Root it
Numerator - Ordinary power
How do you express a calculation as a single power?
Change any large numbers into single powers of the required base.
Simplify by folowing the rules of indices
Multiplying = Add indices
Dividing = Subtract indices
Power of a power = Multiply indices
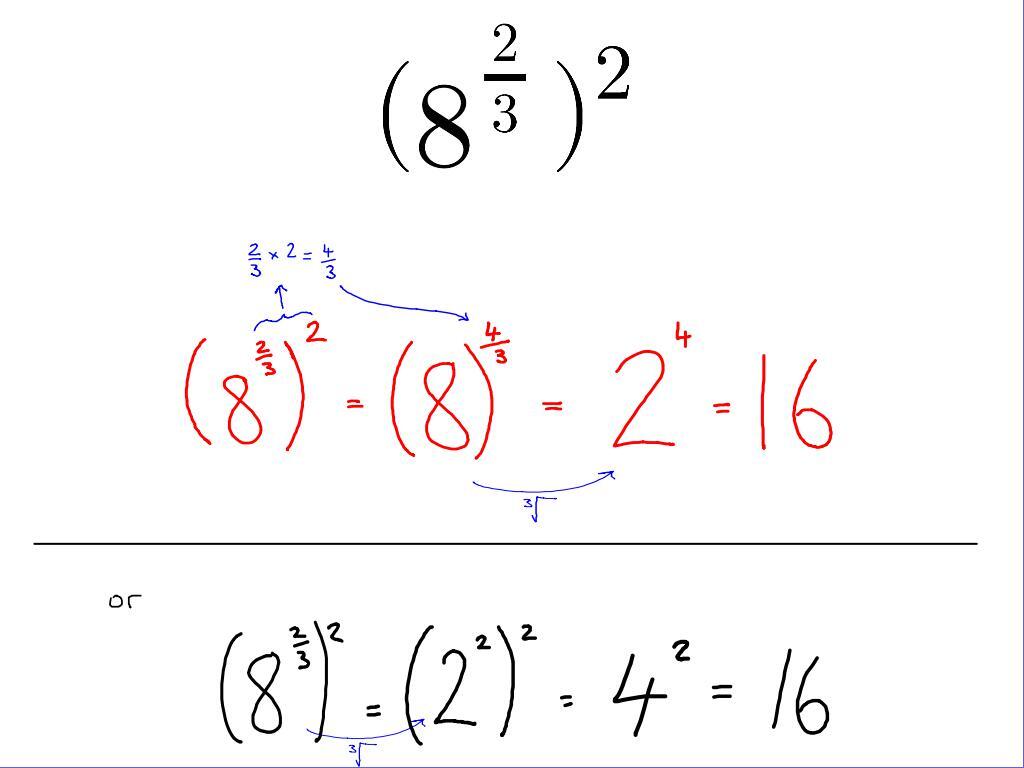
How do you evaluate the following?
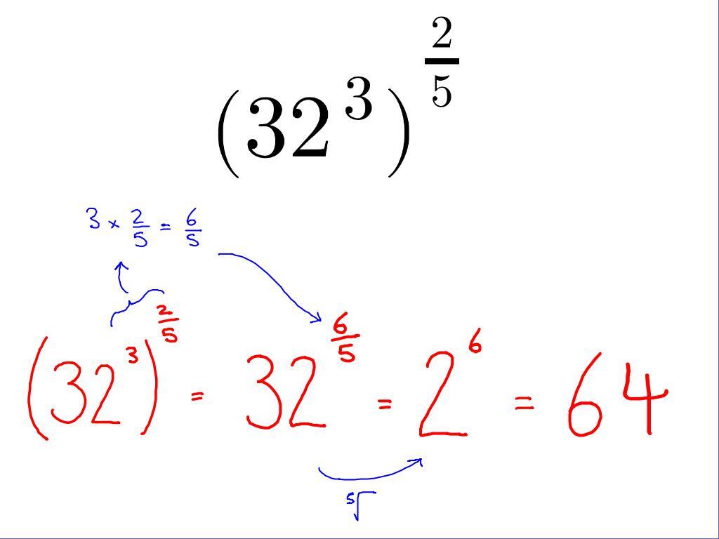
Multiply the powers
Fifth root it
Raise it to the power of 6
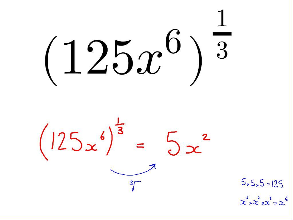
How do you evaluate the following?
Cube root both the number and the x term
How do you evaluate the following?
The negative is the reciprocal (flips it)
The denominator is the 5th root
The numerator squares it (ordinary power)
How do you evaluate the following?
Square root it
How do you evaluate the following?
Cube root it
Then square it
How do you evaluate the following?
Cube root the 64
Cube the 2
Multiply the two results
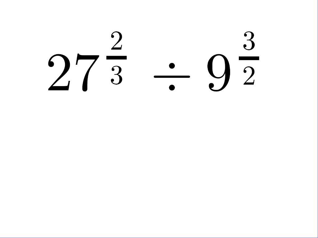
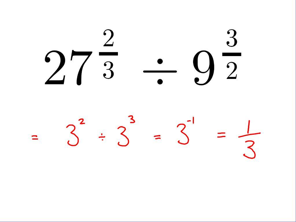
How do you evaluate the following?
Cube root the 27
Square root the 9
Subtract the two powers of 3
3 to the power of -1 is the reciprocal (Flip it)
How do you evaluate the following?
The neagtive is the reciprocal (flips it)
Then square it
How do you evaluate the following?
The negative is the reciprocal (flips it)
How do you evaluate the following?
The indices are added and subtracted
9 + (-2) - 3
How do you evaluate the following?
Multiply the numbers
Add the powers
How do you evaluate the following?
Divide the numbers
Subtract the powers
How do you express this as a single power of 3?
Change the 243 into base 3
(3 to the power of 5)
Change the 9 into base 3
(3 to the power of 2)
Multiply the powers
(3 to the power of 4)
Add the indices
(3 to the power of 9)
How do you express this as a single power of 3?
Change the 9 & 81 into base 3
Multiply the power of powers
Add the powers on the numerator
and then subtract the denominator power