Indices - Test yourself! Flashcards

(8 cards)

1
Q

Express in index notation:

A
How well did you know this?
1
Not at all
2
3
4
5
Perfectly
2
Q

Expand:

A
How well did you know this?
1
Not at all
2
3
4
5
Perfectly
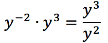
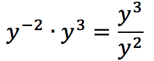
3
Q

True or false?

A

True!! Negative exponents make me sad and “bring me down”, which means you put the term in the bottom of the fraction. The 3 in the y3 term is positive, so it stays where it is!

How well did you know this?
1
Not at all
2
3
4
5
Perfectly
4
Q

True or false?

A

True!! Radicals (like a square root) can be expressed as fractional indices. Notice that we don’t usually write the “2” for a square root. That’s where the 2 in the bottom part of the index comes from

How well did you know this?
1
Not at all
2
3
4
5
Perfectly
5
Q

True or false?

A

False! When you multiply identical bases together, you must ADD their indices.

How well did you know this?
1
Not at all
2
3
4
5
Perfectly
6
Q

True or false?

A

False! You can combine identical bases ONLY when you are multiplying or dividing them

How well did you know this?
1
Not at all
2
3
4
5
Perfectly
7
Q

True or false?

A

True! The y term inside the bracket has a (secret) index of 1. Both x2 and y are being raised to the power of 3. This index “distributes” with the indices inside the bracket (as long as everything inside the bracket is multiplied or divided).

How well did you know this?
1
Not at all
2
3
4
5
Perfectly
8
Q

True or false?

A

False! Only IDENTICAL bases can be combined, and their indices are added together. If the bases are different they CAN’T be combined.

How well did you know this?
1
Not at all
2
3
4
5
Perfectly