Induction machines Flashcards

(27 cards)

1
Q

What is the difference between Td and Tout and what are their Eqns.?

A
  • Td is the internal torque generated by the internal electrical to mechanical power conversion
  • Td = pd/wm=(1-S)Pg/(1-S)wsync=PAG/wsync
  • Tout is the torque at the terminals of the motor including the friction losses
  • Tout= pout/wm
How well did you know this?
1
Not at all
2
3
4
5
Perfectly
2
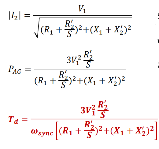
Q

What are all the rules for Td?

A
  • Td=PAG/Wsync=3I22*R’2/S/Wsync
How well did you know this?
1
Not at all
2
3
4
5
Perfectly
3
Q

Draw the graph of the torque speed charactristics and label it?

A
How well did you know this?
1
Not at all
2
3
4
5
Perfectly
4
Q

Describe the torque speed charactristics curve and explain what we can understand from it?

A
  • The torque at synchronous speed is zero (NS)
  • There is a torque called pullout torque that is the maximum torque that can’t be exceeded and is 2 to 3 times higher than thefull load torque
  • There is a linear region where the resistance is much greater than the reactance so the torque increases linearly with the slip
  • The starting torque is higher than the full load torque
  • If the rotor is driven faster than synchronous speed it will run as a generator
How well did you know this?
1
Not at all
2
3
4
5
Perfectly
5
Q

What are the conditions for the motor operation of the induction machine?

A
  • 0
  • PAG=+ve
  • Pd=+ve
How well did you know this?
1
Not at all
2
3
4
5
Perfectly
6
Q

What are the conditions for the generator operation of the induction machine?

A
  • An external prime mover is used to rotate the rotor at speed higher than synchronous speed
  • S<0
  • PAG=-ve
  • Pd=-ve
How well did you know this?
1
Not at all
2
3
4
5
Perfectly
7
Q

What are the conditions for the brake operation of the induction machines?

A
  • Used to stop moving shafts by switching the two phases of the stator to switch the direction of tha magnetic field.
  • 1
  • PAG=+ve
  • Pd=-ve
How well did you know this?
1
Not at all
2
3
4
5
Perfectly
8
Q

What is the Eqn of the slip at maximum torque?

A
How well did you know this?
1
Not at all
2
3
4
5
Perfectly
9
Q

What is the Eqn of the maximum torque?

A

Or we can use the eqn of the starting torque and substitute S by Smax

How well did you know this?
1
Not at all
2
3
4
5
Perfectly
10
Q

How is the line voltage speed control method achieved and what are its properties?

A
  • Can be done by using an autotransformer which is expensive
  • Or by adding a resistance to the stator winding which would decrease the effeciancy
  • Adding a reactance to the stator winding which would decrease the PF
  • Decreasing the Supply voltage decreases the maximum torque
  • Only used for speeds less than the base speed
  • Provides limited range of speed control
  • Only used for small driving fans
How well did you know this?
1
Not at all
2
3
4
5
Perfectly
11
Q

What are the properties of the Rotor resistance speed control?

A
  • Achieved by adding a resistance to the rotor circuit
  • Only used for speeds lower than base speed
  • Can only be used with wound rotor machines
  • Decreases effeciancy and increases losses
  • Wide range of speed control
  • Increasing Ra decreases nm
  • Maximum torque is kept constant
  • Cheap
How well did you know this?
1
Not at all
2
3
4
5
Perfectly
12
Q

What are the properties of supply frequency speed control method?

A
  • Changing supply frequency changes the synchronous speed so the curve can be shifted to right or left
  • As the frequency increases nm increases
  • Motor speed can be controlled from 5% to 200% the base speed
  • Wide range of speed control
  • Can be used with squirel cage and slip ring machines
  • expensive
  • complicated
How well did you know this?
1
Not at all
2
3
4
5
Perfectly
13
Q

What is the Eqn of Tstart and at which conditions?

A

At S=1

How well did you know this?
1
Not at all
2
3
4
5
Perfectly
14
Q

What are the general properties of the induction machines?

A
  • Mostly used as generators
  • called induction because the volt is induced in the rotor winding rather than being connected by a wire
  • Doesn’t need Dc field current to operate the machine
  • Generators only used for the wind turbine
How well did you know this?
1
Not at all
2
3
4
5
Perfectly
15
Q

What are the advantetges of the induction machine that makes it widely used?

A
  • Easy to be maintained
  • Self exciting
  • Rugged device
  • Cheaper than synchronous machines
  • Singly excited as power is only supplied to stator
  • Wide range of power
How well did you know this?
1
Not at all
2
3
4
5
Perfectly
16
Q

Describe the construction of the slip ring rotor?

A
  • Has 3 phase windings similiar to stator
  • The rotor winding terminals are connected to slip rings that turn with the rotor
  • Windings are short circuited externally
  • Called slip ring rotor because it has slip rings connected to it
17
Q

Describe the concstruction of the squirel cage rotor?

A
  • Consists of copper bars slightly longer than the rotor, which are pushed into slots
  • The ends are welded to copper end rings to short circuit to allow flow of current
18
Q

Describe the theory of operation of the induction machine?

A
  • A three phase supply is applied to the stator
  • This creates a magentic field with speed: NS=120(Fe)/P
  • This magnetic field induces a current in the rotor winding
  • Having a current carrying wire and a magnetic field creates a magentic field for the rotor
  • A torque is produced due to the interaction between the two magnetic field speeds
  • Rotor magnetic field speed is Nr
  • The direction of rotation is the same as the magnetic field
19
Q

At which speeds can the induction motor run and can it run at synchronous speeds? why?

A

If the rotor runs at synchronous speeds there will be no relative speed between the two magnetic fields and so the induced voltage will be zero which means that there will be no current and so no rotation. If the rotor is below the synchronous speed then the magnetic field will cut the rotor windings and torque is produced.

20
Q

What is the Eqn of the slip?

A

S=Ns-Nm/Ns

S=1 at standstill

S=0 at synchronous speed

21
Q

What are the Eqns of the rotor frequency?

A

fr=Sfs

fr=(P/120)*(ns-nm)

22
Q

When does the largest relative motion occur and what is the Eqn of the of the induced voltage at that point?

A
  • The largest relative motion occurs when the rotor is at standstill (nm=0) this is called locked rotor or blocked rotor
  • ER0=4.44*NR*Ø*fr
  • NR is number of turns of stator winding
23
Q

What is the Eqn of the induced volt at any slip?

24
Q

What is the eqn of the reactance in case the frequency is changed?

A
  • XR=SX0
  • XR=2πfrLr
  • X1/X2=f1/f2
25
What needs to be done if the frequency of the machine is changed? And what will happen to the values of the reactances?
26
Draw the equivalent circuit of the induction motor?
27
Draw the power flow diagram of the induction motors. Label it and state the eqns and the power ratio?