Inheritance And Selection Flashcards

(24 cards)

1
Q

What’s monohybrid inheritance?

A

Inheritance of 1 gene

How well did you know this?
1
Not at all
2
3
4
5
Perfectly
2
Q

What’s co-dominance?

A

Both alleles of a gene are expressed in the phenotype of the heterozygote.

How well did you know this?
1
Not at all
2
3
4
5
Perfectly
3
Q

What’s sex linked inheritance?

A

Inheritance of alleles found on the x and Y chromosomes

How well did you know this?
1
Not at all
2
3
4
5
Perfectly
4
Q

Why must all males with a recessive sex linked condition must have a mother who’s a carrier or has the conditions?

A

The X chromosome is inherited from the mother

How well did you know this?
1
Not at all
2
3
4
5
Perfectly
5
Q

All females receive an X chromosome from their father, if he has a recessive sex linked condition, will they be a carrier?

A

Yes

How well did you know this?
1
Not at all
2
3
4
5
Perfectly
6
Q

How many copies of an allele do male need to have a recessive sex linked condition?

A

Only 1, they only have 1 X chromosome

How well did you know this?
1
Not at all
2
3
4
5
Perfectly
7
Q

When’s the only time a female will have a recessive sex linked condition?

A

When they’re homozygous recessive (2 recessive alleles)

How well did you know this?
1
Not at all
2
3
4
5
Perfectly
8
Q

What are Dihybrid crosses with no linkage?

A

Inheritance of 2 different characteristics controlled by 2 differently genes found on 2 different chromosomes

How well did you know this?
1
Not at all
2
3
4
5
Perfectly
9
Q

What happens in meiosis 1 which means genes on different chromosomes are inherited independently?

A

Homologous pairs segregated independently

How well did you know this?
1
Not at all
2
3
4
5
Perfectly
10
Q

Define epistasis.

A

Allele of 1 epistatic gene masks the expression of a 2nd gene

How well did you know this?
1
Not at all
2
3
4
5
Perfectly
11
Q

What does recessive epistasis mean?

A

Only a homozygous recessive genotype on the epistatic gene masks expression of a 2nd gene

How well did you know this?
1
Not at all
2
3
4
5
Perfectly
12
Q

What does dominant epistasis mean?

A

Organisms genotype can be hetero or homozygous to show effect

How well did you know this?
1
Not at all
2
3
4
5
Perfectly
13
Q

What’s linkage?

A

Inheritance of genes located on same autosomal chromosome

How well did you know this?
1
Not at all
2
3
4
5
Perfectly
14
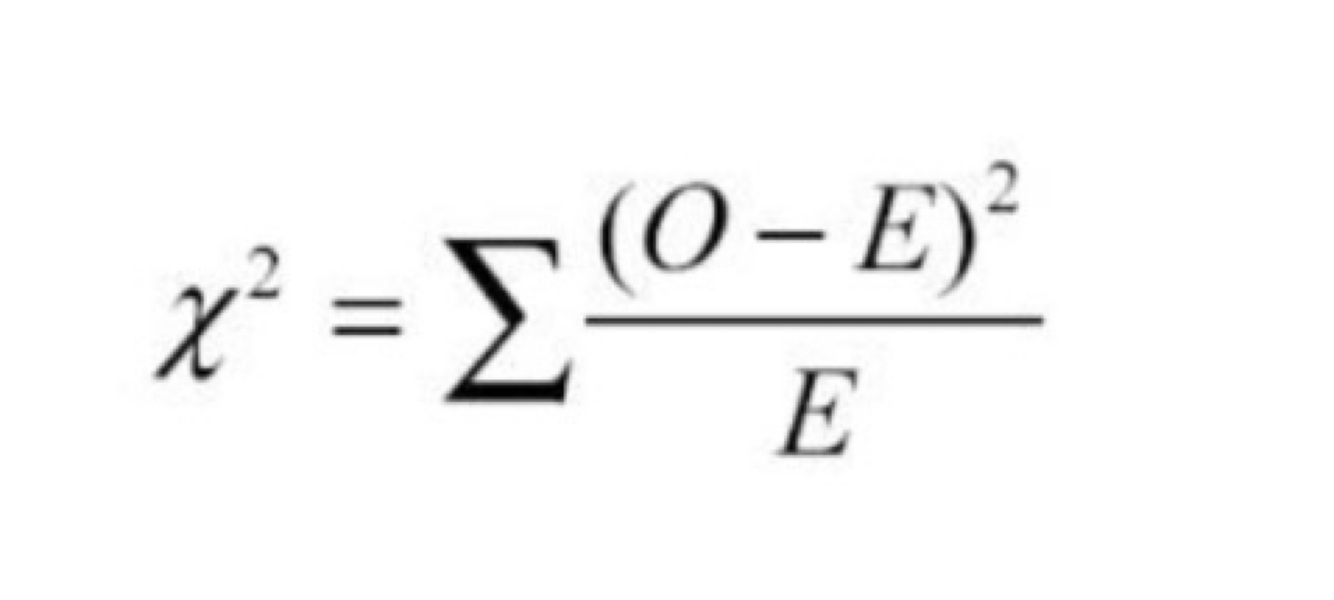
Q

What’s the formula for chi squared?

A
How well did you know this?
1
Not at all
2
3
4
5
Perfectly
15
Q

How do you workout degrees of freedom?

A

No. Of categories if data - 1

How well did you know this?
1
Not at all
2
3
4
5
Perfectly
17
Q

What does the Hardy-Weinberg principle do?

A

Estimates the frequency of alleles

18
Q

Define population.

A

Group of organisms of same species living in a particular place at a particular time with organisms being free to interbreed

19
Q

Define gene pool.

A

Complete range of genes in a population

20
Q

Define allele frequency.

A

How often an allele occurs (expressed as a %)

21
Q

Define genotype frequency.

A

How often a genotype occurs in a population expressed as a %

22
Q

When can the Hardy-Weinberg principle be used?

A
  • large population
  • mating = random
  • one allele does not confer an advantage so no natural selection occurring
  • no emigrants or immigrants
  • no mutations occur
23
Q

What’s the equation predicting allele frequency?

A

p+q = 1

p= dominant allele
q = recessive allele
p^2 = homozygous dominant genotype
2pq = heterozygous genotype
q^2 = homozygous recessive genotype

24
Q

Whats the equation used to predict genotype frequency?

A

p^2 + 2pq + q^2 = 1

p= dominant allele
q = recessive allele
p^2 = homozygous dominant genotype
2pq = heterozygous genotype
q^2 = homozygous recessive genotype