INIR Flashcards

(18 cards)

1
Q

Larmor Frequency

A
How well did you know this?
1
Not at all
2
3
4
5
Perfectly
2
Q

T2 Decay

A
How well did you know this?
1
Not at all
2
3
4
5
Perfectly
3
Q

T1 Decay

A
How well did you know this?
1
Not at all
2
3
4
5
Perfectly
4
Q

T1 Decay Inversion Recovery

A
How well did you know this?
1
Not at all
2
3
4
5
Perfectly
5
Q

Force on metallic object

A
How well did you know this?
1
Not at all
2
3
4
5
Perfectly
6
Q

Laser NOHD

A
How well did you know this?
1
Not at all
2
3
4
5
Perfectly
7
Q

Wavelength (ultrasound)

A
How well did you know this?
1
Not at all
2
3
4
5
Perfectly
8
Q

Speed of sound

A
How well did you know this?
1
Not at all
2
3
4
5
Perfectly
9
Q

Acoustic Impedence

A
How well did you know this?
1
Not at all
2
3
4
5
Perfectly
10
Q

Characteristic Acoustic Impedence

A
How well did you know this?
1
Not at all
2
3
4
5
Perfectly
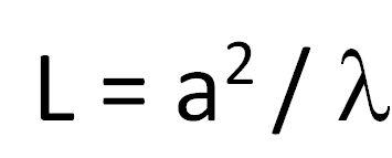
11
Q

Length of Near Field

A
How well did you know this?
1
Not at all
2
3
4
5
Perfectly
12
Q

Divergence

A
How well did you know this?
1
Not at all
2
3
4
5
Perfectly
13
Q

Focal Length

A
How well did you know this?
1
Not at all
2
3
4
5
Perfectly
14
Q

Beam width at focus

A
How well did you know this?
1
Not at all
2
3
4
5
Perfectly
15
Q

Intensity (power)

A
How well did you know this?
1
Not at all
2
3
4
5
Perfectly
16
Q

Mechanical Index

17
Q

Reflection Coefficient

18
Q

Transmission Coefficient