integrals Flashcards

(8 cards)

1
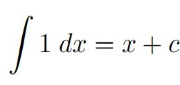
Q

indefinite integral of

1

A
How well did you know this?
1
Not at all
2
3
4
5
Perfectly
2
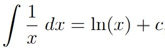
Q

indefinite intergral of

1/x

A
How well did you know this?
1
Not at all
2
3
4
5
Perfectly
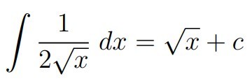
3
Q

indefinite intergral of

1/(2x0.5)

A
How well did you know this?
1
Not at all
2
3
4
5
Perfectly
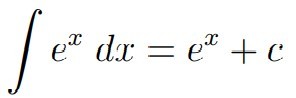
4
Q

indefinite integral of

ex

A
How well did you know this?
1
Not at all
2
3
4
5
Perfectly
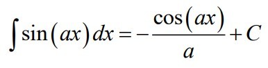
5
Q

indefinite integral of

sin(ax)

A
How well did you know this?
1
Not at all
2
3
4
5
Perfectly
6
Q

integral of cos(ax)

A
How well did you know this?
1
Not at all
2
3
4
5
Perfectly
7
Q

integral of

tan(ax)

A
How well did you know this?
1
Not at all
2
3
4
5
Perfectly
8
Q
A
How well did you know this?
1
Not at all
2
3
4
5
Perfectly