Integration 1: Integratability Flashcards

(20 cards)

1
Q

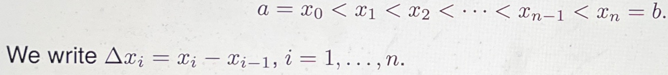
Define a partition of [a,b]

A

Finite set of points x_0, x_1, …, x_n where

How well did you know this?
1
Not at all
2
3
4
5
Perfectly
2
Q

Define upper and lower Riemann sums

A
How well did you know this?
1
Not at all
2
3
4
5
Perfectly
3
Q

Lower Riemann integral

A
How well did you know this?
1
Not at all
2
3
4
5
Perfectly
4
Q

Upper Riemann integral

A
How well did you know this?
1
Not at all
2
3
4
5
Perfectly
5
Q

Denote that f is Riemann integrable on [a,b]

A
How well did you know this?
1
Not at all
2
3
4
5
Perfectly
6
Q

P* is a refinement of P if

A

P € P*
That is every point of P is a point of P*

How well did you know this?
1
Not at all
2
3
4
5
Perfectly
7
Q

Common refinement

A
How well did you know this?
1
Not at all
2
3
4
5
Perfectly
8
Q

Relate refinements to Riemann sums

A
How well did you know this?
1
Not at all
2
3
4
5
Perfectly
9
Q

Proof of refinement lemma

A
How well did you know this?
1
Not at all
2
3
4
5
Perfectly
10
Q

Prove

A
How well did you know this?
1
Not at all
2
3
4
5
Perfectly
11
Q

Riemann’s criterion of integrability

A
How well did you know this?
1
Not at all
2
3
4
5
Perfectly
12
Q

Proof of Riemann’s criterion of integrability

A
How well did you know this?
1
Not at all
2
3
4
5
Perfectly
13
Q

? =>

A

f is bounded and monotonic on [a,b]

How well did you know this?
1
Not at all
2
3
4
5
Perfectly
14
Q

Prove that any bounded, monotonic function on [a,b] is Riemann integrable on [a,b]

A
How well did you know this?
1
Not at all
2
3
4
5
Perfectly
15
Q

Prove

A

(All continuities on [a,b] are Riemann integrable on [a,b])

How well did you know this?
1
Not at all
2
3
4
5
Perfectly
16
Q

Piecewise integrable functions are integrable

17
Q

Prove composition of of Lipschitz functions

18
Q

If f is bounded on [a, b] and (below) for all sufficiently small ε>0 , then

19
Q

Prove that f is Riemann integrable on [a,b] when it has finitely many discontinuities

20
Q

General characterisation of Riemann integrable functions