What is the formula for Expected Value?

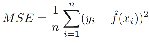
What is the formula for mean squared error?

What is the formula for expected test MSE?

What do we mean by the variance and bias of a statistical learning
method?
The amount by which fˆ would change if we
estimated it using a different training data set.
What is bias in terms of statistical learning?
The error that is introduced by approximating a real-life problem, which may be extremely complicated, by a much simpler model.