Kinetics Flashcards

(72 cards)

1
Q

What is the rate of a chemical reaction?

A

The rate at which products are formed, or reactants used up

rate= Δconc/time
rate= d[conc] / dt

How well did you know this?
1
Not at all
2
3
4
5
Perfectly
2
Q

What are elementary reactions and the three types?

A

Reactions which occur in a single step. All chemical reactions can be made up of a series of elementary steps

Unimolecular: isomerisation or disassociation, contain only 1 reactant

Bimolecular: collision between 2 species

Termolecular: collision between three species, very rare and require very high pressures

How well did you know this?
1
Not at all
2
3
4
5
Perfectly
3
Q

What is a complex reaction?

A

A reaction involving more than one elementary step

Most reactions, e.g Haber-Process

How well did you know this?
1
Not at all
2
3
4
5
Perfectly
4
Q

What is the activation energy of a reaction and how can it be understood?

A

An energetic barrier which must be overcome for particles to successfully reaction

The energy difference between the reactants and transition state

How well did you know this?
1
Not at all
2
3
4
5
Perfectly
5
Q

How has the equation for rate of reaction from simple collision theory been derived?

A

3 key factors:
- collision frequency
- energetic requirement > Ea
- orientation of the collision / sterics correct

How well did you know this?
1
Not at all
2
3
4
5
Perfectly
6
Q

How does a catalyst increase rate of reaction?

A

Lowering the activation energy of a reaction
From the rate formula, catalysts change the exponential term exp(-Ea/RT), as the power will become less negative

How well did you know this?
1
Not at all
2
3
4
5
Perfectly
7
Q

What are the failures of simple collision theory?

A

Not all of the kinetic energy of the reactants is available for a reaction, only KE relative to motion contributes

Energy stored in internal degrees of freedom (rotation, vibration) of reactants is ignored

So often experimental K and that of the formula do not align

How well did you know this?
1
Not at all
2
3
4
5
Perfectly
8
Q

What is the formula for A, the pre-exponential factor?

A
How well did you know this?
1
Not at all
2
3
4
5
Perfectly
9
Q

How do you write the differential equation form for rate of reaction e.g for the Haber process?

A

N₂(g) + 3H₂(g) ⇌ 2NH₃(g)

-d[N₂]/dt= -1/3 d[H₂]/dt = 1/2 d[NH₃]/dt

1/coefficient
- signs for reactants as their concs are decreasing, so becomes positive

How well did you know this?
1
Not at all
2
3
4
5
Perfectly
10
Q

What is a rate law? What is an order and overall order?

A

An expression which relates reaction rates to the concentration of species in the reaction mixture
Can include catalysts, reactants, products, but not intermediates

Order: The power a concentration is raised to
Overall: sum of individual orders

How well did you know this?
1
Not at all
2
3
4
5
Perfectly
11
Q

What is a simple rate law? And a complex rate law? What do they indicate?

A

Simple rate laws can be written directly from the reaction equation, e.g elementary reactions, complex reactions sometimes

rate= k [A] [B]

Complex: more complicated dependence on conc, often with multiple constants

e.g rate= (k1[A]^1/2 [B])/ (1 + K’[B])

A complex rate law always indicates a complex reaction

How well did you know this?
1
Not at all
2
3
4
5
Perfectly
12
Q

What does molecularity mean? How does this relate to elementary reactions?

A

The number of each species in an elementary step reflects the order of the species in the rate equation

How well did you know this?
1
Not at all
2
3
4
5
Perfectly
13
Q

How do you convert between pressure/ time and conc?

A

pV=nRT
n/V= p/RT

Divide by RT

How well did you know this?
1
Not at all
2
3
4
5
Perfectly
14
Q

What are the units of both K for this reaction? When can rate constants be compared?

A

When adding/subtracting, the species must have the same units
If these added species are used to divide, they count as one unit

How well did you know this?
1
Not at all
2
3
4
5
Perfectly
15
Q

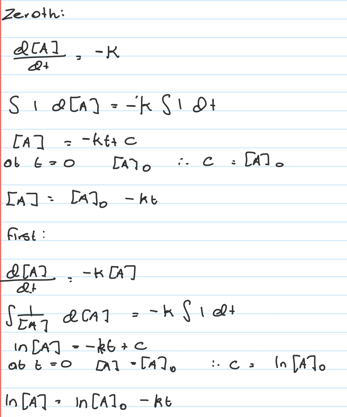
How do you calculate the integrated rate law for zeroth and first order reactions?

A
How well did you know this?
1
Not at all
2
3
4
5
Perfectly
16
Q

How do you calculate the integrated rate law for second order reactions?

A

You don’t need to divide by a half, as these are not elementary steps

How well did you know this?
1
Not at all
2
3
4
5
Perfectly
17
Q

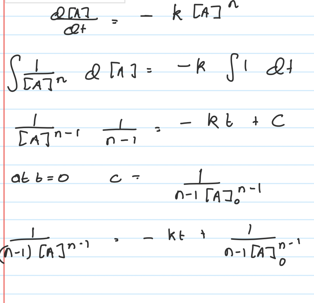
How do you calculate integrated rate laws for n order reactions?

A
How well did you know this?
1
Not at all
2
3
4
5
Perfectly
18
Q

What is the half life of a substance? What is the general approach for finding the equation for half life of a reaction based on order?

A

The time taken for the concentration of a substance to fall to half of its initial value

Substitute t=t1/2 and [A] = [A]0/2 into the integrated rate law

How well did you know this?
1
Not at all
2
3
4
5
Perfectly
19
Q

What are the half lives of zeroth, first, and second order reactions?

A

zeroth: [A]₀ / 2k
first: ln2/K
second: 1/K[A]₀

How well did you know this?
1
Not at all
2
3
4
5
Perfectly
20
Q

How would you calculate the half life of an n order reaction?

A

Actually 2^n-1 -1

How well did you know this?
1
Not at all
2
3
4
5
Perfectly
21
Q

How can the isolation method be used to determine rate laws?

A

Keep one reagent in such a large excess its concentration is effectively constant for the reaction
This means the change in rate is due to the decrease of the other reactant over time

A + B –> P

Rate=k[A]^n [B]^m
If B in a large excess
Keff= [B] * K
Rate= keff[A]^n

So now pseudo first order

How well did you know this?
1
Not at all
2
3
4
5
Perfectly
22
Q

How can differential methods be used to determine rate laws?

A

After isolation, rate dependent on 1 concentration

rate = k[A]^a

log(rate)= logK + alog([A])
Plot the graph, gradient=a, and log K = y intercept

Can be acquired through multiple initial rates methods calculation of rate from conc-time monitoring several times

How well did you know this?
1
Not at all
2
3
4
5
Perfectly
23
Q

How can integral methods be used to determine rate laws?

A

Using the integrated rate laws: literally just the equations they give

zeroth: [A] vs t linear
first: ln[A] vs t linear
second: 1/[A] vs t linear

How well did you know this?
1
Not at all
2
3
4
5
Perfectly
24
Q

How can half-lives be used to determine rate laws?

A

Using the integrated rate laws for half life equations:

zeroth order: successive half lives half each time

first: constant half life

second: successive half lives double

How well did you know this?
1
Not at all
2
3
4
5
Perfectly
25
What is the Arrhenius equation and how can it be used?
k= Aexp(-Ea/RT) lnk= -Ea/RT + lnA Plot a graph of lnk against 1/T, gradient = -Ea/RT, y intercept= lnA To plot for unusual questions e.g negative Ea, think that gradient is Ea, linear, and lnA is the y intercept
26
When does the Arrhenius equation break down? Why?
At high temperatures, as A is also temperature dependent, there may be deviations At low temperatures, quantum-mechanical tunnelling through the activation barrier may result in deviations
27
How can the Arrhenius equation be applied for elementary and complex reactions? How can activation energy vary?
Elementary: As normal, with the Ea the barrier height, and A collision rate Complex: Effectively an equation for the temperature dependence on rate, rather than having physical meanings If the plot of lnk against 1/T is not linear the equation: Ea= RT² dlnk/dT Can be used, and further things inferred from the T² term Ea can be positive or negative, 0, and temperature dependent
28
Why may a reaction have a negative activation energy?
Implies a complex reaction mechanism, and that increasing temperature decreases rate e.g pre equilibrium The forward reaction is exothermic so favoured by lower temperatures, and as this stage occurs first, dominates the reaction Ea no longer represents a physical energy barrier in complex reactions so can be negative, 0 ion-ion
29
What is the general process for measuring the rate of a chemical reaction?
1. Mix the reactants on a timescale negligible to the reaction 2. Monitor the conc of a reactants as a function of time 3. Ensure temperature is constant
30
What is the difference between batch techniques and continuous techniques?
Batch: reaction initiated at a well-defined time, concentration followed after initiation Continuous: Continuously initiated, time dependence inferred from different positions in the reaction vessel ie how far along the tube it is
31
How can continuous flow techniques be used to initiate reactions? And the time span?
s-ms Reactants introduced into start of tube, and a moveable or fixed detector detects the conc Use t=d/v But needs large quantities of reactants, and very fast flow rates
32
How can stopped flow techniques be used to initiate reactions? And the time span?
Fixed volumes rapidly mixed and flow into a reaction chamber via syringe Monitored spectroscopically, as a function of time Needs small volumes - but may react with the walls, heterogenous reactions, so coated in inert halocarbon wax - quantify via varying flow tube diameter
33
How can flash photolysis techniques be used to initiate reactions? And the time span? How about pump probes?
A pulse of light disassociates a precursor molecule producing the reactive species And conc of species measured spectroscopically Enables thorough mixing, and reactants can be central so no reactions with walls fs Laser pump propes: two flashes, one to initiate, one to detect spectroscopically
34
What are relaxation methods for measuring rate?
Disturbing a system at equilibrium, e.g via temperature change e.g microwave discharge Already well mixed Sometimes measured with laser-induced fluorescence, proteins
35
What are the calculations behind the relaxation method, equilibrium?
36
How can shock tubes be used to initiate reactions? And the time span?
Using a high pressure gases released into a system to cause production of reactive species from a precursor, rapid heating But not very selective
37
What are the main ways for monitoring the concentrations in slow reactions?
Real time analysis: withdrawing samples and testing Quenching: Reaction stopped after a certain time, e.g cooling, removal of catalyst, dilution, adding a quencher - but needs to be slow enough for no real reaction progress during quenching Both used together If a gas is produced, measure mass loss, volume collected Ions: conductivity/pH Titrations Colorimetry Spectroscopy Polarimetry (chirality) Mass spec, gas chromatography
38
How can fast reactions have their concentrations monitored?
Absorption spectroscopy, using beer lambert law, different absorptions Absorbance= e c l Resonance fluorescence: atomic species - precursor, microwave for RS, lamp emits wavelengths as species give off photos as dexcite - light excites atoms of the same species, and detector detects light emitted by these species, intensity proportional to conc Laser induced fluorescence: laser excites species, emits photons, intensity of photons detected
39
How can temperature be controlled when measuring the rate of reactions?
Thermocouples / Thermostats Gas-phase in a vacuum chamber, equilibrium maintained High temps via heating, low via cooling liquids through walls Cryogenic liquids for for very cool e.g nitrogen, helium as liquids Or even cooler, supersonic molecular beams
40
What factors must a proposed mechanism account for?
Agreement with the rate law Product distribution Product stereochemistry Kinetic isotope effects Temperature dependence
41
How can a consecutive equation of A→B→C be used to calculate [C] in terms of rate constants and [A]o ?
Write the rate equations Solve for A Substitute into B, and then using integrating factors to solve Subtract from Ao - A- B = C
42
How the a consecutive equation for [C] be simplified?
43
What is pre equilibria? How can this approximation be used to calculate [D] ? When does it apply?
We say the rate of the forward and backward reactions is equal in the pre equilibrium SO can use this equation to rearrange for a concentration Effectively K of the equilibrium is much larger than the one direction reaction, little leakage Only in later stages when the equilibrium has applied
44
What is the steady state approximation?
A reactive intermediate is used up virtually as soon as it is formed, so its concentration is always very low, and constant for most of the reaction (apart from the end and beginning) We can assume d[intermediate] / dt = 0 Forming simultaneous algebraic rate equations rather than coupled differential equations
45
How can SSA be applied to a pre-equilibrium situation?
46
What are the general steps for using SSA to solve equations?
Write down the intermediate conc in terms of Ks and [A]/[B]... Set equal to 0, and rearrange Substitute into the rate equation desired Sometimes, rather than rearranging for a certain concentration, it is easier to set the equation for a set e.g k1k2[A][C] = [R][B] if this comes up in another equation If the species in question appears twice either being used up or made, 2 infront of the equation Squared only if being used up - so if dHBr/dt, coefficients depend only upon HBr in the equation (See later for more)
47
How can rate equations be formed from consecutive style reactions ?
d[A]/dt = k x [reactants that form A] = k[reactants than use up A, can include [A] itself]
48
What is the Lindemann-Hinshelwood mechanism?
Used to describe a unimolecular gas phase reaction with first order kinetics Explains how they acquire enough energy to react, reversible The gas molecule reacts with another molecule (could be the same type) resulting in this molecule gaining energy and the other unchanged The excited state A* goes on to unimolecular react
49
How can SSA be applied to the Lindemann-Hinshelwood mechanism? What happens at low and high pressures?
At high pressures, collisions are more likely, meaning the bimolecular de-excitation of A* is more likely than unimolecular At low pressures, unimolecular isomerisation is more likely than de-excitation of A*
50
How can the Lindemann-Hinshelwood be supported?
Use a plot of K Deviations at high pressures with K too large A particular degree of freedom is required for energy excitation, not taken into account
51
What type of reaction is likely to be third order? i.e 2NO + O2 → 2NO2
Pre-equilibria, as the chance of a 3 body collision is far too low for the rate observed And also in this case, increasing temperature decreases rate so complex Think about when this will be 3rd order, comparing k2 and k-1
52
What type of third order reaction is the formation of ozone?
Bimolecular forming a vibrationally excited state This excited state transfers some of its energy to a third molecule to enable successful formation of ozone O + O2 → O3* O3* + M → O3 + M
53
How do enzymes work?
An enzyme is a protein that catalyses a specific biochemical reaction via lowering the activation energy The substrate binds to the enzyme at the active site, causing a shift in substrate geometry closer to that of the transition state, lowering activation energy
54
What is the Michaelis-Menten equation? How does vmax relate to enzyme conc?
55
How can the Michaelis-Menten equation be derived?
Use SSA, and then substitute for [E] with [E]0 + [ES] Then rearrange for [ES], and take out k1 to help determine Km
56
How can the Michaelis-Menten equation be simplified? How does this relate to order?
57
How can Km and k2 of an enzyme reaction be calculated?
58
What is a chain reaction and the types of chain reaction?
Chain reactions contain chain carriers, reactive intermediates which react to form further reactive intermediates Cyclic: chain carriers continuously regenerated until removed via a termination step Non cyclic: involve many reactive species and elementary steps Linear: each propagation step produces 1 reactive intermediate Branches: Contains propagation steps which produce more than one reactive intermediate
59
How do you calculate chain length?
n = rate of propagation / rate of initiation/termination
60
What is the mechanism for the reaction between hydrogen and bromine?
3rd step irreversible as HBr < H2
61
How can the rate equation for the reaction between hydrogen and bromine be derived?
Find the equations for the reactive intermediates Add them, to simplify and rearrange to find the concentrations of both Write the equation for rate of the product HBr Substitute the equations formed before
62
How do the rate of hydrogen and chlorine / iodine reactions compare to bromine?
With chlorine, but faster rate as propagation more efficient, inhibition much slower Iodine too slow to operate at room temps, termolecular reactions Rate of step 2 formation of XBr more endothermic down the group
63
Why do explosions occur?
Thermal: Heat generated by a reaction cannot be dissipated rapidly, increasing rate, further reaction... Chain branching: Each step produces more reactive intermediates, keeps increasing in chain carriers
64
What is the mechanism for hydrogen reacting with oxygen?
65
How does the nature of the hydrogen/oxygen reaction change with pressure?
At lower pressures, collisions with the wall more likely, meaning initiation=termination, step increase in rate with pressure, At higher pressures, more likely to collide before the wall, so propagation + initiation > termination , 1st explosive limit At even higher pressures, the termolecular reaction termination steps is important, balancing initiation and propagation resulting in a steady increase, 2nd explosion limit At even higher pressures, rate increases further, generating higher temperatures, and so more explosive, 3rd explosive limit
66
How does increase temperature affect the explosion limits of the reaction of hydrogen and oxygen?
Initiation/branching endothermic increasing in rate, whilst termination unaffected / exothermic so reduced So first limit occurs faster, lower limit 2nd increased as needs a higher pressure for termolecular to become important 3rd lower as more heat already produced
67
How does increasing SA:V change the explosion limits of the reaction of hydrogen and oxygen?
Increased rate of initiation and termination, so more termination raising pressure limits UNaffected in the 2nd limit Higher limit for 3rd as increased SA:V means faster heat loss
68
How add an inert gas change the explosion limits of the reaction of hydrogen and oxygen?
Decrease mean free path, promotes collisions so propagation, lower first limit Second lower as can act as a 3rd body 3rd lower as reduced heat transfer
69
If you have two reactions removing the same reaction, how can the concentration of this reactant be calculated? And half life?
Add the Ks in the exponential term
70
What happens to the energy graphs for a negative activation energy? Arrhenius and Reaction profile?
71
How would you write the rate laws for 2 Cl radicals reversibly forming 1 Cl2 molecule?
72
When looking at the Linderman mechanism e.g , what do you have to be careful about when looking at high/ low pressures?
Comparing entities with the same units i.e K2 + k1[m] then have to compare K2>k1[M], with the concentration rather than solely K values