Kompositter Flashcards

(1 cards)

1
Q

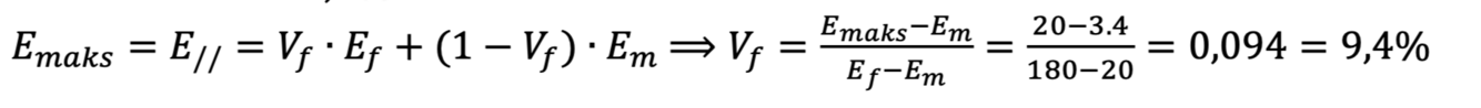
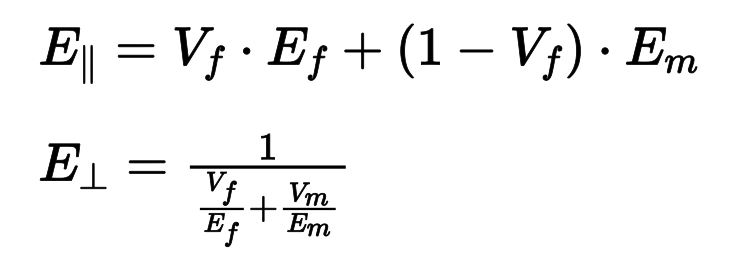
En konstruksjon har blitt laget med en fiberarmert kompositt. Man har tatt mange prøver av konstruksjonen. Under prøvetakingen har man ikke holdt regning med orienteringen av fibrene. På laboratoriet ble E-modulen bestemt på prøvene.

Fra produsenten vet vi at E-modulen til matriksen (epoksy) er 3.4 GPa og at E-modulen til fibrene er 180 GPa. De høyeste E- modulverdiene som ble som ble målt var på 20 GPa. Estimer volum% fiber i kompositten (antatt at den er konstant i hele konstruksjonen). +2p

A
How well did you know this?
1
Not at all
2
3
4
5
Perfectly