Kp Flashcards

(10 cards)

1
Q

Quando usar Kp?

A

Analisar rendimento de reações gasosas!

How well did you know this?
1
Not at all
2
3
4
5
Perfectly
2
Q

Quais estados físicos entram no cálculo do Kp?

A

Apenas o estado gasoso!

How well did you know this?
1
Not at all
2
3
4
5
Perfectly
3
Q

Fator do meio capaz de alterar Kp:

A

Temperatura!

How well did you know this?
1
Not at all
2
3
4
5
Perfectly
4
Q

Qual a relação Kp e Kc?

A
How well did you know this?
1
Not at all
2
3
4
5
Perfectly
5
Q

Como calcular Kp?

A

Usamos pressões parciais ao invés da concentração dos reagentes e produtos (LEI DE DALTON)

How well did you know this?
1
Not at all
2
3
4
5
Perfectly
6
Q

Como calcular pressão parcial de um gás?

A

Multiplicação da fração molar do gás pela pressão total do sistema.

How well did you know this?
1
Not at all
2
3
4
5
Perfectly
7
Q

A somatória das pressões parciais do sistema resulta na:

A

Pressão total ou Pressão do sistema.

How well did you know this?
1
Not at all
2
3
4
5
Perfectly
8
Q

No gráfico, indique quem são os produtos e reagente:

A

Reagente – Hidrogênio gasoso (H2) e Iodo gasoso (I2)

Produto – Iodeto de Hidrogênio (HI)

How well did you know this?
1
Not at all
2
3
4
5
Perfectly
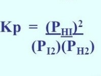
9
Q

Sobre o gráfico, defina a equação da constante Kp:

A
How well did you know this?
1
Not at all
2
3
4
5
Perfectly
10
Q

Para o equilíbrio do gráfico calcule Kp:

A
How well did you know this?
1
Not at all
2
3
4
5
Perfectly