L4 Flashcards

(10 cards)

1
Q

If a sugar contains a hemiacetal what does in mean in regards to aldehydes?

A

It contains a small percentage of open chain form aldehydes

How well did you know this?
1
Not at all
2
3
4
5
Perfectly
2
Q

What kind of sugar is it if it contains an open chain aldehyde form? (reducing or non reducing)

A

Reducing sugar

How well did you know this?
1
Not at all
2
3
4
5
Perfectly
3
Q

What is a glycoside?

A

Cyclic acetal form of sugar

How well did you know this?
1
Not at all
2
3
4
5
Perfectly
4
Q

What is a glycoside?

A

Cyclic acetal form of sugar

How well did you know this?
1
Not at all
2
3
4
5
Perfectly
5
Q

What conditions are acetals stable? and what does it do to large carbohydrates?

A

Absence of H+
Stable in H2O

Stability to polysaccharides

How well did you know this?
1
Not at all
2
3
4
5
Perfectly
6
Q

A glycoside in H2O without acid, is it capable of undergoing tollens reactions and why?

A

No as its a non reducing sugar and unable to undergo tollens reaction as there is no open chain form

How well did you know this?
1
Not at all
2
3
4
5
Perfectly
7
Q

Can a pure acetal be oxidised into carboxylic acid directly?

A

No

How well did you know this?
1
Not at all
2
3
4
5
Perfectly
8
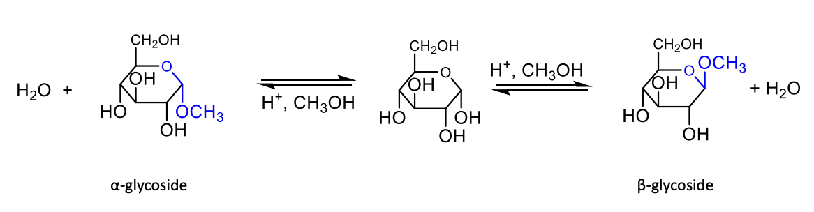
Q

If a glycoside is in and acidified alcohol solution what does it mean in relation to bet and alpha?

A

They are in equilibrium

How well did you know this?
1
Not at all
2
3
4
5
Perfectly
9
Q

How can two monosaccharides be linked together?

A

O from OH group attacks sugar 1’s carbon forming glycosidic bond

How well did you know this?
1
Not at all
2
3
4
5
Perfectly
10
Q

How do you know if a sugar is reducing or not?

A

If there is a hemiacetal on the end

How well did you know this?
1
Not at all
2
3
4
5
Perfectly