Laws Flashcards

(7 cards)

1
Q

What is Kirchoffs current law?

A

∑i IN= ∑i OUT

The sum of current in is equal to the sum of the current out.

How well did you know this?
1
Not at all
2
3
4
5
Perfectly
2
Q

What is Ohms Law?

A

V = iR

How well did you know this?
1
Not at all
2
3
4
5
Perfectly
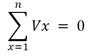
3
Q

What is Kirchoffs Voltage Law?

A

The sum of all voltages around any closed path in a circuit is equal to zero.

How well did you know this?
1
Not at all
2
3
4
5
Perfectly
4
Q

What defines a closed circuit?

A

A path through circuit elements that returns to it’s origin without passing through any intermediate node more than once.

A circuit where the flow of electricity is uninterrupted/unbroken.

How well did you know this?
1
Not at all
2
3
4
5
Perfectly
5
Q

V = iR

What Law is this?

A

Ohms Law

How well did you know this?
1
Not at all
2
3
4
5
Perfectly
6
Q

∑i IN= ∑i OUT

What law is this?

A

Kirchoffs current law.

How well did you know this?
1
Not at all
2
3
4
5
Perfectly
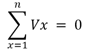
7
Q

What Law is this?

A

Kirchoffs voltage law.

How well did you know this?
1
Not at all
2
3
4
5
Perfectly