Lec 9: Nucleic Acids Flashcards

(14 cards)

1
Q

what link forms between a nucleobase and nucleoside?

A

β‐ N ‐glycosidic link

How well did you know this?
1
Not at all
2
3
4
5
Perfectly
2
Q

what is the difference between a pyramidine and a purine?

A

purines contain two carbon-nitrogen rings and four nitrogen atoms

where as

pyrimidines contain a single carbon-nitrogn ring and 2 nitrogen atoms

How well did you know this?
1
Not at all
2
3
4
5
Perfectly
3
Q

what are pyrimidine nucleotides? which base are pyrimidines?

A

Heterocyclic organic compounds consisting of a pyrimidine ring

cysosine (C), Uracil (U), thymine (T)

How well did you know this?
1
Not at all
2
3
4
5
Perfectly
4
Q

what are purine nucleotides? which bases are purines?

A

Heterocyclic organic compounds consisting of a pyrimidine ring fused to an imidazole ring

adenine (A), guanine (G)

How well did you know this?
1
Not at all
2
3
4
5
Perfectly
5
Q

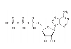
name this molecule

A

ATP

How well did you know this?
1
Not at all
2
3
4
5
Perfectly
6
Q

name this molecule

A
How well did you know this?
1
Not at all
2
3
4
5
Perfectly
7
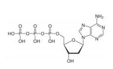
Q

name this molecule

A

datp

How well did you know this?
1
Not at all
2
3
4
5
Perfectly
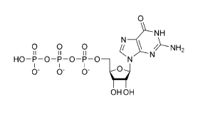
8
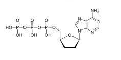
Q

name this molecule

A

ddatp

How well did you know this?
1
Not at all
2
3
4
5
Perfectly
9
Q

what is GTP (Guanosine triphosphate) used for?

A

– Important in protein synthesis and cell signalling

How well did you know this?
1
Not at all
2
3
4
5
Perfectly
10
Q

what is meant when it said that DNA strands are antiparallel?

A

– Strands are read 5’ to 3’

– Complementary strands have asymmetric ends

How well did you know this?
1
Not at all
2
3
4
5
Perfectly
11
Q

what does this diagram show?

A

semiconservative replication

How well did you know this?
1
Not at all
2
3
4
5
Perfectly
12
Q

what is a karyotype?

A

the number and appearance of chromosomes in the nucleus of a eukaryotic cell.

How well did you know this?
1
Not at all
2
3
4
5
Perfectly
13
Q

what is the Central Dogma?

A

The central dogma states that information in nucleic acid can be perpetuated or transferred but the transfer of information into protein is irreversible”

How well did you know this?
1
Not at all
2
3
4
5
Perfectly
14
Q
A
How well did you know this?
1
Not at all
2
3
4
5
Perfectly