Lecture 09 - Neuroevolution Flashcards

(37 cards)

1
Q

Neuroevolution

What is neuroevolution?

A

Artificial evolution of neural networks using genetic
algorithms (GA)

How well did you know this?
1
Not at all
2
3
4
5
Perfectly
2
Q

Neuroevolution

Where has neuroevolution shown promise?

A

Reinforcement learning tasks, such as robot control and
playing a game.

How well did you know this?
1
Not at all
2
3
4
5
Perfectly
3
Q

Neuroevolution

What is NEAT short for?

A

Neuroevolution of Augmenting Topologies

How well did you know this?
1
Not at all
2
3
4
5
Perfectly
4
Q

Neuroevolution

What is TWEANN short for?

A

Topology and Weight Evolving Artificial Neural Network

How well did you know this?
1
Not at all
2
3
4
5
Perfectly
5
Q

Neuroevolution

What’s the relationship between NEAT and TWEANN?

A

TWEANN is NEAT’s predecessor.

How well did you know this?
1
Not at all
2
3
4
5
Perfectly
6
Q

Neuroevolution

What is Direct encoding?

A

Genome explicitly defines the network

How well did you know this?
1
Not at all
2
3
4
5
Perfectly
7
Q

Neuroevolution

(@Rephrase) What is indirect encoding?

A

Genome has developing rules to grow the network

How well did you know this?
1
Not at all
2
3
4
5
Perfectly
8
Q

Neuroevolution

What is the advantage of direct encoding?

A

Genome is smaller

How well did you know this?
1
Not at all
2
3
4
5
Perfectly
9
Q

Neuroevolution

What is the disadvantage of direct encoding?

A

Reduced topology variety

How well did you know this?
1
Not at all
2
3
4
5
Perfectly
10
Q

Neuroevolution

What is NEAT’s solution to the Competing Conventions Problem?

A

Historical Marking

How well did you know this?
1
Not at all
2
3
4
5
Perfectly
11
Q

Neuroevolution

What is Historical Marking in NEAT?

A

Tracking of “innovations” by enumerating them with a unique ID called the “innovation number”.

How well did you know this?
1
Not at all
2
3
4
5
Perfectly
12
Q

Neuroevolution

What is the innovation number?

A

A rising ID number for each new “innovation” in NEAT.

How well did you know this?
1
Not at all
2
3
4
5
Perfectly
13
Q

Neuroevolution

What is an innovation in NEAT?

A

Any new gene in a genotype, i.e. addition of neurons (nodes) and connections/weights (vertices).

How well did you know this?
1
Not at all
2
3
4
5
Perfectly
14
Q

Neuroevolution

How does historical marking work during crossover?

A
  • Matching genes are inherited randomly
How well did you know this?
1
Not at all
2
3
4
5
Perfectly
15
Q

Neuroevolution

What are disjoint genes in NEAT?

A

those that do not match in the middle

How well did you know this?
1
Not at all
2
3
4
5
Perfectly
16
Q

Neuroevolution

What are genes that do not match in the middle called?

A

Disjoint genes

17
Q

Neuroevolution

What are excess genes in NEAT?

A

those that do not match in the end

18
Q

Neuroevolution

What are genes that do not match in the end called?

19
Q

Neuroevolution

Which parent are disjoint/excess genes inherited from?

A

The more fit parent

20
Q

Neuroevolution

How does NEAT protect innovation?

21
Q

Neuroevolution

Why does NEAT use Speciation?

A

To protect innovation

22
Q

Neuroevolution

What is speciation?

A

Separation orf solutions into “species”, where only individuals within the same species are allowed to reproduce with each other.

23
Q

Neuroevolution

What’s the requirement for a species?

A

Having similar chromosomes

24
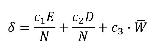
Q

Neuroevolution

Describe the parts of the compatibility distance.

A
  • cs: importance coefficients
  • E: #excess genes
  • D: #disjoint genes
  • N: #genes in the larger genome
  • W: Average weight differences of matching genes.
25
# Neuroevolution Describe the speciation process. (4)
- Using the distance measure "d" and a threshold "d_t". - A random genome from the previous generation represents a species. - For every genome: - If the genome is compatible with a species, add it to that species. - Otherwise, create a new species from that genome.
26
# Neuroevolution What is adjusted fitness?
The individual's non-adjusted fitness divided by #individuals in the population.
27
# Neuroevolution Why is adjusted fitness used?
The adjusted fitness allows the balance of members among all species in a generation
28
# Neuroevolution How does speciation protect innovation?
The number of offspring of a species is proportional to the sum of adjusted fitnesses of its members
29
# Neuroevolution How does extinction work?
If the maximum fitness of a species did not improve in 15 generations, the networks in the stagnant species are not allowed to reproduce
30
# Neuroevolution How does elitism work?
the champion of each species with more than five networks are copied into the next generation unchanged
31
# Neuroevolution What are the types of mutations in NEAT? (3)
- Add connection - Add node - Change weight connection
32
# Neuroevolution What is HyperNEAT?
A "Hypercube-based NEAT". An indirect encoding where a CPPN defines the connectivity.
33
# Neuroevolution What is CPPN short for?
Compositional pattern-producing network
34
# Neuroevolution What does a Compositional pattern-producing network (CPPN) do?
It produces a geometric pattern.
35
# Neuroevolution How does HyperNEAT use the CPPN?
HyperNEAT uses CPPN to define the weights of the ANN that executes the desired task
36
# Neuroevolution How is the CPPN trained?
CPPN is trained using NEAT
37
# Neuroevolution What are the activation functions in aa CPPN?
Pretty much any activation function, like sigmoid, cosine, linear, absolute value etc.