Lecture 2 Flashcards

(12 cards)

1
Q

What are the two types of priors?

A
How well did you know this?
1
Not at all
2
3
4
5
Perfectly
2
Q

What is an conjugate prior?

A
How well did you know this?
1
Not at all
2
3
4
5
Perfectly
3
Q

How to derive the likelyhood, post. density, and mean of a bernoulli dist.?

On the exam the Bernoulli dist. formula is given

A
How well did you know this?
1
Not at all
2
3
4
5
Perfectly
4
Q

How do you derive the post. kernel of a normal distribution with known variance for n = 1?

Assume a prior of N(m_prior, v_prior)

A
How well did you know this?
1
Not at all
2
3
4
5
Perfectly
5
Q

How do you?

A
How well did you know this?
1
Not at all
2
3
4
5
Perfectly
6
Q
A

This prior is non-informative s.t. v_prior –> inf

How well did you know this?
1
Not at all
2
3
4
5
Perfectly
7
Q

How do you derive the post. kernel of a normal distribution with known variance for n > 1? Thus was is the post. mean?

With prior N(m_prior, v_prior).

A
How well did you know this?
1
Not at all
2
3
4
5
Perfectly
8
Q

Derive the likelyhood of a normally dist. with mean mu and unknown variance 1/h.

Note the formula for the normal distribution is given on the exam

A
How well did you know this?
1
Not at all
2
3
4
5
Perfectly
9
Q

Derive the joint posterior density kernel of mu and h.

From normally dist. with mean mu and unknown variance 1/h with prior 1/h

A
How well did you know this?
1
Not at all
2
3
4
5
Perfectly
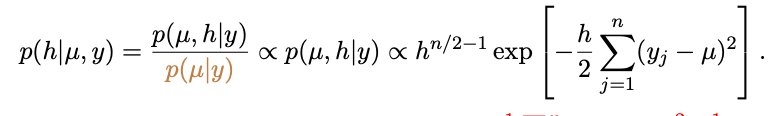
10
Q

What is the kernel of the conditional posterior of h given mu (and y)?

Just give the formula of how to calculate

A
How well did you know this?
1
Not at all
2
3
4
5
Perfectly
11
Q

What is the Gibbs sampling algorithm?

A

The algorithm below might be somewhat unclear, thus here a simplification:

For i in range(n):
Sample for all variables in θ using their respective distribution, and the previous value of θ.

Thus for a normal distribution sample for μ from p(μ|h, y), for μ and h, use their previous draw.
Then sample for h from p(h|μ, y).
end

Then our estimate of θ is the mean (after burn in).

How well did you know this?
1
Not at all
2
3
4
5
Perfectly
12
Q

What is burn-in? Why is it used?

A
How well did you know this?
1
Not at all
2
3
4
5
Perfectly