Lecture 2 Flashcards

(10 cards)

1
Q

How do we find a payoff from a matrix?

A

1) Find the probability with which each outcome will occur by multiplying the action probabilities.
2) Multiply the payoff of each choice by the probability of that outcome.
3) Add up all the payoffs.

How well did you know this?
1
Not at all
2
3
4
5
Perfectly
2
Q

How does a player choose a strategy in mixed strategies?

A

They choose so as to keep their RIVAL indifferent.

How well did you know this?
1
Not at all
2
3
4
5
Perfectly
3
Q

What are two key requirements for a prisoner’s dilemma?

A
  • both players must have a dominant strategy
  • free riding must be possible
How well did you know this?
1
Not at all
2
3
4
5
Perfectly
4
Q

What is a Best Response Function

A
How well did you know this?
1
Not at all
2
3
4
5
Perfectly
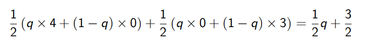
5
Q

How do we show that T is a dominated strategy once we allow for mixed strategies?

A

1) Find payoff for playing a mixture of M plus B (1/2 & 1/2 is fine since there’s two options).
2) Compare that to the payoff for playing T.

How well did you know this?
1
Not at all
2
3
4
5
Perfectly
6
Q

For the problem of bystanders calling the police, what are the two formulas we need to remember?

A

1) bystander is indifferent if: payoff - cost = (payoff if no one calls x probability no one calls) + (payoff if someone calls x (1- probability no one calls))
2) probability no one calls is (1-p)^(n-1)

How well did you know this?
1
Not at all
2
3
4
5
Perfectly
7
Q

What are some key things to remember if we see the environmental contamination problem?

A
  • *** the local government’s payoffs are a COST so they are NEGATIVE!!!
  • If the expert is dishonest, there’s still a chance the repair work is in fact major, in which case they wouldn’t get the bribe.
  • the local government will pay I if they reject and expert is honest, but I’ if they reject and expert is dishonest because expert would have recommended major and they wouldn’t have done minor at all.
  • It may be impossible to tell if A or R is better for LG, in which case they would randomize (i.e. mixed strategies)
How well did you know this?
1
Not at all
2
3
4
5
Perfectly
8
Q

How do we draw a graph?

A
  • Put your terms on the graph
  • Figure out what each thing would be at zero by making the term for that axis equal to zero and recalculating. If the two terms were equal, act as if they no longer are.
  • Figure out another point
  • Draw lines
How well did you know this?
1
Not at all
2
3
4
5
Perfectly
9
Q

What if we don’t know how to go any further because there’s too many unknowns?

A

Pick a number and plug it in. State your assumption.

How well did you know this?
1
Not at all
2
3
4
5
Perfectly
10
Q
A
How well did you know this?
1
Not at all
2
3
4
5
Perfectly