Lecture 2 Flashcards

(10 cards)

1
Q

Boolean Algebra: Commutative Rule

A

A+B=B+A AB=BA

How well did you know this?
1
Not at all
2
3
4
5
Perfectly
2
Q

Boolean Algebra: Assosciative Rule

A

(A+B)+C=A+(B+C) (AB)C=A(BC)

How well did you know this?
1
Not at all
2
3
4
5
Perfectly
3
Q

Boolean Algebra: Distributive Rule

A

A(B+C)=AB+AC A+(BC)=(A+B)(A+C)

How well did you know this?
1
Not at all
2
3
4
5
Perfectly
4
Q

Boolean Algebra: Identity Rule

A

A+A=A AA=A

How well did you know this?
1
Not at all
2
3
4
5
Perfectly
5
Q
A

A

How well did you know this?
1
Not at all
2
3
4
5
Perfectly
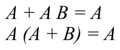
6
Q

Boolean Algebra: Redundancy Rule

A
How well did you know this?
1
Not at all
2
3
4
5
Perfectly
7
Q
A

A+B

How well did you know this?
1
Not at all
2
3
4
5
Perfectly
8
Q
A

AB

How well did you know this?
1
Not at all
2
3
4
5
Perfectly
9
Q

De Morgan’s Theorem

A
How well did you know this?
1
Not at all
2
3
4
5
Perfectly
10
Q

Bistable/flip-flop

A

A circuit whose output can remain in one of the two stable states infinitely, even if the input changes to zeros.

How well did you know this?
1
Not at all
2
3
4
5
Perfectly