Chemical name for 1 phosphate?
Label the structure!

Monophosphate

Monomeric units w/ phosphates?
Nucleotides
Monomeric units that lack phosphates
Nucleosides
Label the Nucleotide!
How would it be different for DNA vs RNA?


Two ______ bases: DNA and RNA contain A & G.
Two Purine bases: DNA and RNA contain A & G.
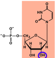
Name the base.


Name the base.


3 _______ bases: DNA and RNA contain C;
mainly T in DNA;
mainly U in RNA.
3 Pyrimidine bases: DNA and RNA contain C;
mainly T in DNA;
mainly U in RNA.
Name the base.


Name the base.
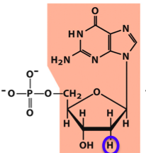
DNA/RNA?

DNA

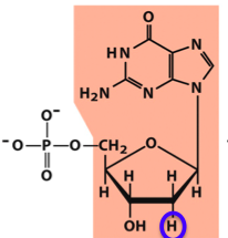
Name the base.
DNA/RNA?

RNA

Where does the Glycosidic Bond attach for Purines?
Pyrimidines?
Purines: At N9 to sugar at C1’
Pyrimidines: At N1 to sugar at C1
Name the Deoxyribonucleotide.
Symbols?
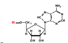
Nucleoside?


Name the Deoxyribonucleotide.
Symbols?
Nucleoside?


Name the Deoxyribonucleotide.
Symbols?
Nucleoside?


Name the Deoxyribonucleotide.
Symbols?
Nucleoside?


Name the Ribonucleotide.
Symbols?
Nucleoside?


Name the Ribonucleotide.
Symbols?
Nucleoside?


Name the Ribonucleotide.
Symbols?
Nucleoside?


Name the Ribonucleotide.
Symbols?
Nucleoside?


What is this compound?
Nucleoside?
Nucleotides?

Adenosine Triphosphate
Nucleoside: Adenosine
Nucelotides: AMP, ADP, ATP
Name the structure and phosphate.

Adenosine (Adenosine diphosphate, ADP)
Inorganic Phosphate
Name the structure and phosphate.

Adenosine (Adenosine monophosphate, AMP)
Inorganic Pyrophosphate
What types of substrates does DNA & RNA require?
dNTP, NTP