Lecture 6 Flashcards

(20 cards)

1
Q

What is a Phase 1 Reaction?

A

it introduces a polar functional group into the xenobiotic (foreign) molecule

-OH, -COOH, -NH2, -SH

How well did you know this?
1
Not at all
2
3
4
5
Perfectly
2
Q

Which enzyme does most of the Phase 1 reactions?

A

CYP450

How well did you know this?
1
Not at all
2
3
4
5
Perfectly
3
Q

Heme molecules allows what?

A

It allows the oxygen to come in and oxidize our drug

How well did you know this?
1
Not at all
2
3
4
5
Perfectly
4
Q

_________ convert the relatively lipid-soluble xenobiotics to water-soluble (hydrophilic) compounds that can be excreted

A

Metabolic Reactions

How well did you know this?
1
Not at all
2
3
4
5
Perfectly
5
Q

Metabolism leads to compounds that are generally what?

A

Pharmacologically less active and relatively nontoxic
(also regarded as the detoxification process)

How well did you know this?
1
Not at all
2
3
4
5
Perfectly
6
Q

what is a prodrug?

A

Administers an inactive form of the drug and becomes active when it enters the body

How well did you know this?
1
Not at all
2
3
4
5
Perfectly
7
Q

what is the main purpose of phase 1 rxn?

A

to introduce a polar functional group into the xenobiotic molecule (-OH, -COOH, _NH2, -SH)

How well did you know this?
1
Not at all
2
3
4
5
Perfectly
8
Q

What type of reactions are considered phase 1?

A

-oxidations
-reductions
-hydrolysis

How well did you know this?
1
Not at all
2
3
4
5
Perfectly
9
Q

Aromatic Methyl Oxidation

A
How well did you know this?
1
Not at all
2
3
4
5
Perfectly
10
Q

Dehydration

A
How well did you know this?
1
Not at all
2
3
4
5
Perfectly
11
Q

4 types of Privileged positions

A

-Adjacent to a heteroatom-containing functional groups (S,O,N)
-Benzylic position
-Allylic Position
-Highly Substituted- C-H bonds (so a carbon with 3 R groups and a hydrogen)

How well did you know this?
1
Not at all
2
3
4
5
Perfectly
12
Q

Oxidative Dealkylation

A

you basically lose and akyl group (-CH3) and it attaches a hydrogen

Works on Primary, secondary, and Tertiary Groups

How well did you know this?
1
Not at all
2
3
4
5
Perfectly
13
Q

For Oxidative Dealkylation there are two different metabolic pathways

A

Oxidation & Dealkylation

How well did you know this?
1
Not at all
2
3
4
5
Perfectly
14
Q

Deamination

A

Only works on Primary and Secondary Amines
Converts the amine to either a ketone or aldehyde

How well did you know this?
1
Not at all
2
3
4
5
Perfectly
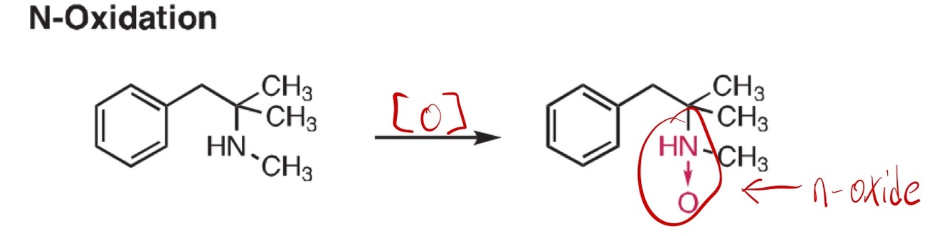
15
Q

N-Oxidation

A

N-oxidation transforms a basic amino group into a neutral motif, so a neutral group is not ionizable

this is a tertiary amine, so N-oxide

How well did you know this?
1
Not at all
2
3
4
5
Perfectly
16
Q

O & S dealkylations occurs in similar fashion to N dealkylations

17
Q

What are Phase 2 (Conjugation) reactions?

A

typically attaches the polar and ionizable groups to the phase 1 metabolites or the xenobiotics containing the necessary polar functional groups to form water-soluble conjugated products devoid of activity

18
Q

Phase 2: The Glutathione conjugation

A

Main purpose is to protect the body against the chemically reactive metabolites/xenobiotics

ex: acetaminophen

19
Q

Phase 2: Acetylation

A

does not increase water solubility significantly

20
Q

Phase 2: Methylation

A

does not lead to polar/water soluble metabolites except when a quaternary ammonium derivative is formed