Lesson13IncDecFunctions Flashcards

(16 cards)

1
Q

What does a positive derivative tell you?

A

It tells you at which points the graph is increasing (positive slope of tangent line),

How well did you know this?
1
Not at all
2
3
4
5
Perfectly
2
Q

At what points on the graph of

f(x) = x³ is the graph increasing?

A

f’(x) = 3x²

It is always increasing.

Increasing means if you take any 2 x’s, the higher one always gives a higher y-value.

How well did you know this?
1
Not at all
2
3
4
5
Perfectly
3
Q

How do you find the various intervals of a function where it is increasing and where it is decreasing?

A

First, find the critical points.

Then, check points in-between

How well did you know this?
1
Not at all
2
3
4
5
Perfectly
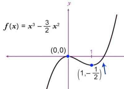
4
Q

On which intervals is the following function increasing/decreasing?

f(x) = x³ - 3/2

A

f’(x) = 3x² - 3x :: 3x(x-1)

critical points are 1 and 0

at >1 it increases

at<0 in increases

at ½ in decreases

How well did you know this?
1
Not at all
2
3
4
5
Perfectly
5
Q

What are the relative extrema of

f(x) = ½x - sinx on (0,2π)

A

f’(x) = ½ - cosx = 0

½ = cosx 60° and 300° or π/3, /3

at x < π/3 it’s negative

at π/2, it’s positive

at 2π it’s negative

π/3 = relative minimum

/3 = relative maximum

How well did you know this?
1
Not at all
2
3
4
5
Perfectly
6
Q

Find the critical numbers for

f(x) = (x² - 4)

A

f’(x) = ⅔(x² - 4)-⅓ * 2x

= 4x / 3(x² - 4)⅓

If x is ±2, the denominator is 0, so derivative is undefined

(this is because they are sharp points)

If x = 0, The numerator is 0

How well did you know this?
1
Not at all
2
3
4
5
Perfectly
7
Q

Find the length and width of a rectangle of 80 perimeter with maximum area.

A

2x + 2y = 80

y = 40 - x

x*(40 - x) = 80

40x - x² = 80

A’ = 40 - 2x

2x = 40

x = 20 :: y = 20

How well did you know this?
1
Not at all
2
3
4
5
Perfectly
8
Q

What is Rolle’s Theorem?

A

f(x) is continuous on [a,b] and is differentiable on (a,b)

and f(a) = f(b)

:: there is a derivative of a point between a and b which is 0.

How well did you know this?
1
Not at all
2
3
4
5
Perfectly
9
Q

Does f(x) = x4 - 2x², [-2,2]

apply to Rolle’s Theorem? If so where are its points with derivative 0?

A

It appliies because f(2)=8 and f(-2)=8

f’(x) = 4x² - 4x

f’(x) = 4x(x - 1)(x + 1)

f’(x) = 0 when x = 0, ±1

How well did you know this?
1
Not at all
2
3
4
5
Perfectly
10
Q

What is the Mean Value Theorem?

A

It is a variation of Rolle’s Theorem.

f(x) is continuous on {a,b] and differentiable on (a,b)

There is a point between a and b that has the same slope as the line that connects a and b.

How well did you know this?
1
Not at all
2
3
4
5
Perfectly
11
Q

Apply the Mean Value theorem to

f(x) = 5 - 4/x, [1,4]

A

The slope between the endpoints is f(4)-f(1)/4-1 = 1

f’(x) = 4x-2

4x-2 = 1 when x=±2

;; the slope = 1 when x = 2

(-2 is outside the interval)

How well did you know this?
1
Not at all
2
3
4
5
Perfectly
12
Q

Give a practical example of the Mean Value Theorem.

A

You drive 240 miles in 3 hours and get a speeding ticket at the end. At some point, you have to have driven 80 mph.

How well did you know this?
1
Not at all
2
3
4
5
Perfectly
13
Q

What does a second derivative tell you?

A

concavity

How well did you know this?
1
Not at all
2
3
4
5
Perfectly
14
Q

How are tangent lines related to concavity?

A

They stay fully outside the graph

If they are above the curve, it is concave downward. If below the curve, the curve is concave upward.

How well did you know this?
1
Not at all
2
3
4
5
Perfectly
15
Q

What is an example of a function that has both a section with concave down and a section with concave up?

A

f(x) = x³

How well did you know this?
1
Not at all
2
3
4
5
Perfectly
16
Q

What are the two criteria for concavity?

A

(1) Is the tangent line above or below the graph?
(2) Are the slopes (derivatives) increasing or decreasing?