Limits & Derivatives Flashcards

(34 cards)

1
Q

Why are limits the foundation of calculus?

A

Algebra fails when calculating slope of a line in a specific instance. Need calc it as it approaches (limit) of that numbers

How well did you know this?
1
Not at all
2
3
4
5
Perfectly
2
Q

How do you solve tangent and velocity problems?

A

Find limit of the slope as x gets closer and closer to zero. That gets the slope of the tangent line, which is the velocity / instantaneous rate of change

How well did you know this?
1
Not at all
2
3
4
5
Perfectly
3
Q

What are the limit laws for + - x /

A

Because limit(f) is just some number. So it’ll add, divide, etc

How well did you know this?
1
Not at all
2
3
4
5
Perfectly
4
Q

Limit as x goes to a of x =

A

a

How well did you know this?
1
Not at all
2
3
4
5
Perfectly
5
Q

Intuitive definition of the limit, and more precise definitions

A

intuitive: what happens to a function when you get close to a point

Precise:
left hand limit and right hand limit exist and are the same, then the limit exists

How well did you know this?
1
Not at all
2
3
4
5
Perfectly
6
Q

What is the squeeze theorem?

A
How well did you know this?
1
Not at all
2
3
4
5
Perfectly
7
Q

What 3 things does a Continuous function have?

A

(Must remember this) Esp #3

How well did you know this?
1
Not at all
2
3
4
5
Perfectly
8
Q

What are types of non-continuous functions?

A

Removable (pick up pencil)
Jump ([[x]]

How well did you know this?
1
Not at all
2
3
4
5
Perfectly
9
Q

Is it true that all polynomials and rational functions are continuous?

A

yes

How well did you know this?
1
Not at all
2
3
4
5
Perfectly
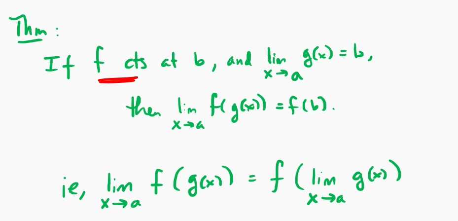
10
Q

What does the screenshotted theorum mean?

A

If the outside function is continuous, then you can bring the limit inside…

How well did you know this?
1
Not at all
2
3
4
5
Perfectly
11
Q
A

if outside function is continuous, you can bring the limit inside

How well did you know this?
1
Not at all
2
3
4
5
Perfectly
12
Q

The classic, know this one

A
How well did you know this?
1
Not at all
2
3
4
5
Perfectly
13
Q

What is intermediate value theorum?

A

Must be continuous and closed interval

How well did you know this?
1
Not at all
2
3
4
5
Perfectly
14
Q

Is there a number exactly one more than its cube?

A

Due to intermediate value theorem, know that all polynomials cross x axis at least once, so there is a solution to that equation equals zero

How well did you know this?
1
Not at all
2
3
4
5
Perfectly
15
Q

Do Limit Laws apply to infinite limits?

A

No, because infinity is not a number

How well did you know this?
1
Not at all
2
3
4
5
Perfectly
16
Q

Whats infinity minus infinity?

A

DNE because infinity is not a number

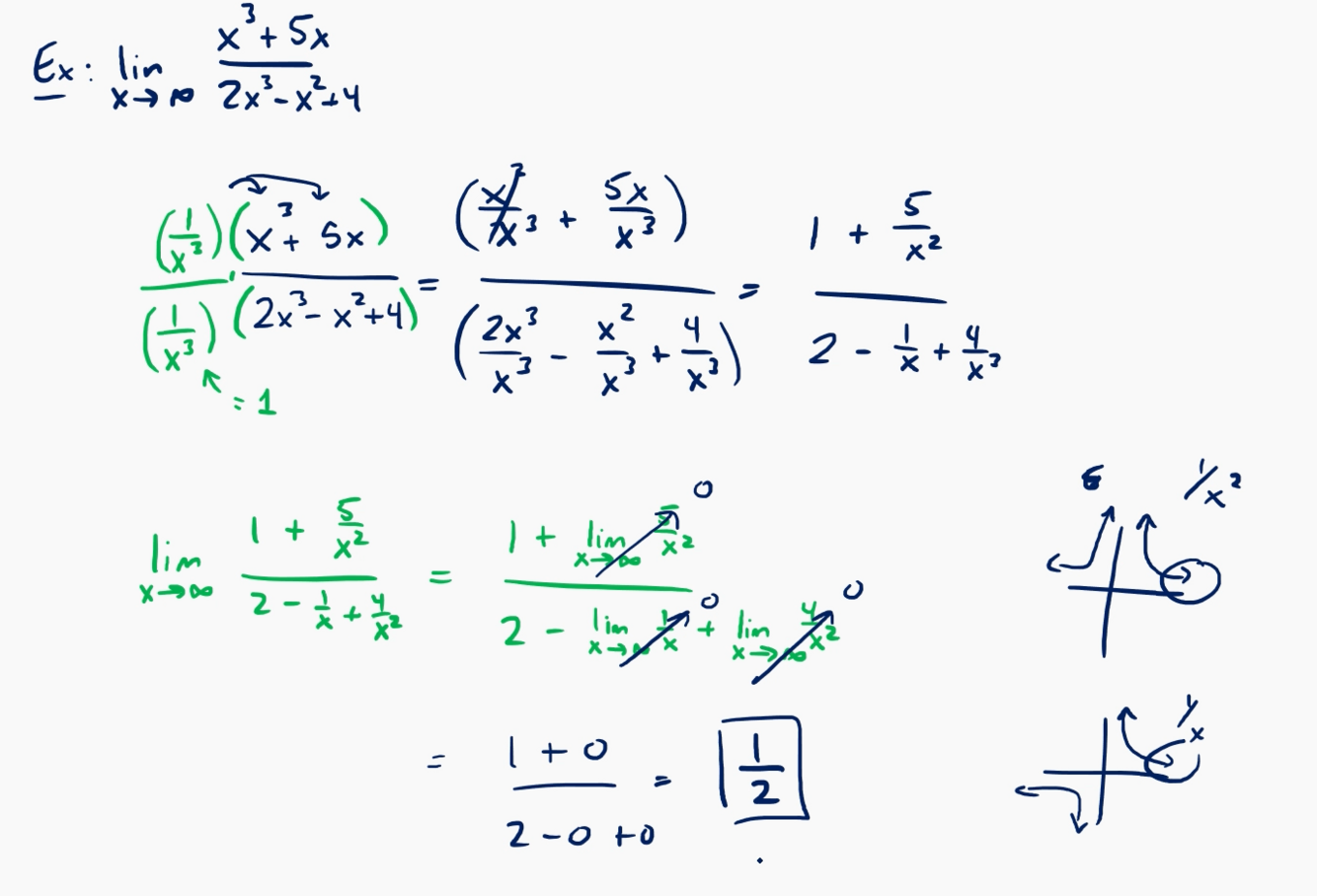
17
Q
A

notice the method of multiplying by (1/x3) / (1/x3)

Ratio of leading coefficients.

18
Q

HARD problem

A

multiply by conjugates
Try to simplify getting numerator to 1
Can distribute multiplication into the square root.

19
Q

Tricky one.

A

USe squeeze theorem - think that when you see cos

20
Q

The equation of the derivative of a function f at a number a is….

A

limit as h goes to 0

21
Q

Write equation describing that the tangent line to y = f(x) at (a, f(x))

A

Y - f(a) = f’(a) (x - a)

Y changes as the rate of derivative times change in x

22
Q
A

write limit every time
Write the initial formula every time

23
Q

Whats the difference between average velocity and instantaneous velocity?

A

Average is given over two points

Instantaneous is a limit as h –> 0

24
Q

Are these all the same thing?

slope of tangent line
instantaneous rate of change
instantaneous velocity
marginal rate of change
derivative

25
T/F: If a function is differentiable, it is it continuous.
True. Differentiable means it has a derivative. And thus it is continuous. The opposite is false though, it can be continuous but not differentiable
26
Name some situations where a function is not differentiable
Discontinuous or has a corner |x| Has vertical asymptote [[x]]
27
How do you get the second derivative? And what does it mean?
Derivative of the first derivative. It's the rate of change of the rate of change. e.g. acceleration.
28
What is third derivative called?
The jerk. a large jerk means a sudden change in acceleration.
29
If you see that subtraction at bottom, think of this formula - f(x) - f(a) / x-a
30
Split into limit from left and right, piecewise
31
What is difference of cubes simplification? b3 - a3 = ?
(b-a)(b2 + ab + b2)
32
For a function, how do you go about finding the horizontal and vertical asymptotes?
Horizonal: look at x --> infinity and negative infinity Vertical: look at zeros of denominator. Then if you cannot factor that out, its a VA
33
When have continuous function, the limit can pass through...
34
What are various methods of calculating limits
Limit Laws Direct substitution Squeeze theorem Conjugate method Factoring Limit translates inside lim f(g(x)) = f(lim g(x)) .... if f is continuous