Linear Gradient Descent Flashcards

(3 cards)

1
Q

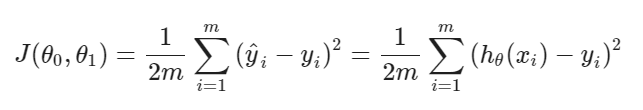
Cost Function

A

Measures the accuracy of our hypothesis function.

How well did you know this?
1
Not at all
2
3
4
5
Perfectly
2
Q

Mean Squared Error

A

Takes an average difference of all results of the hypothesis with inputs from x and the output y.

How well did you know this?
1
Not at all
2
3
4
5
Perfectly
3
Q

What is the goal of learning with respect to the Cost Function?

A

Minimize the cost function. Find the

How well did you know this?
1
Not at all
2
3
4
5
Perfectly