lipids Flashcards

(16 cards)

1
Q

Functions of lipids

A

Energy source: can be used in respiration (twice energy per gram as carbohydrates)

Water source

Energy store – insoluble in water so can be stored without affecting the water potential.

Thermal insulation E.g., whale blubber, hibernating animals.

Stores fat soluble vitamins – adipose tissue stores A, D, E and K.

Buoyancy: fat is less dense than water

Cushioning: visceral fat protects organs

Membrane formation and the creation of hydrophobic barriers e.g., lipid-rich coat in bacteria

Hormone production

Electrical insulation for impulse transmission

Waterproofing: e.g., birds’ feathers and cuticle on leaves

How well did you know this?
1
Not at all
2
3
4
5
Perfectly
2
Q

elements

A

carbon, hydrogen and oxygen

How well did you know this?
1
Not at all
2
3
4
5
Perfectly
3
Q

what are lipids

A

macromolecules

How well did you know this?
1
Not at all
2
3
4
5
Perfectly
4
Q

macromolecules

A

complex molecules with a relatively large molecular mass. This means they do not form polymers as they are not monomers.

How well did you know this?
1
Not at all
2
3
4
5
Perfectly
5
Q

are lipids polar

A

no, because of the even distribution of electrons in the outer orbitals where the bonds form.

How well did you know this?
1
Not at all
2
3
4
5
Perfectly
6
Q

if lipids are not polar what does this tell us

A

insoluble in water because they do not attract water molecules, but they do dissolve in alcohol.

How well did you know this?
1
Not at all
2
3
4
5
Perfectly
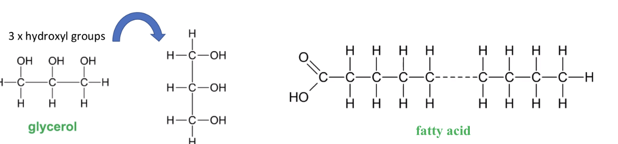
7
Q

Structure of triglycerides

A

one glycerol molecule with three fatty acids.

glycerol act as backbone of macromolecules

How well did you know this?
1
Not at all
2
3
4
5
Perfectly
8
Q

how does triglyceride form

A

Both molecules have hydroxyl groups (-OH).

The hydroxyl groups interact leading to the formation of three water molecules and three bonds between the fatty acids and glycerol molecule.

These are called ester bonds.

How well did you know this?
1
Not at all
2
3
4
5
Perfectly
9
Q

Saturated fatty acids

A

Fatty acid chains with no double bonds between carbon atoms
all of the carbon atoms have formed the maximum number of bonds with hydrogen atoms.
straight chain

fatty acid chains to pack closely
solid at room temperature

How well did you know this?
1
Not at all
2
3
4
5
Perfectly
10
Q

Unsaturated fatty acids

A

A fatty acid with double bonds between some of the carbon atoms
only one double bond = monounsaturated
two or more double bonds = polyunsaturated
kink

Molecules cannot pack tightly together
liquid at room temperature.

How well did you know this?
1
Not at all
2
3
4
5
Perfectly
11
Q

Triglycerides as ideal energy storage molecules

A

insoluble, do not affect the water potential of cells

release twice as much energy as carbohydrates per gram

bundle together to form insoluble droplets in cells with the hydrophobic tails inwards and the hydrophilic heads outwards allowing them to be transported through
the cell’s aqueous environment

How well did you know this?
1
Not at all
2
3
4
5
Perfectly
12
Q

Ratios

A

1:2:<1

much less oxygen in triglycerides than in carbohydrates

How well did you know this?
1
Not at all
2
3
4
5
Perfectly
13
Q

Phospholipids

A

modified triglycerides
phosphorus, carbon, hydrogen and oxygen
two fatty acids

polar phosphate group is joined to the
third hydroxyl group of the glycerol molecule

amphipathic

How well did you know this?
1
Not at all
2
3
4
5
Perfectly
14
Q

How phospholipid structure allows it to perform its functions

A

dual hydrophilic/hydrophobic structure causes them to form a layer on the surface of water with the phosphate heads in the
water and the fatty acid tails sticking out of the water

surfactants

water-soluble substances cannot easily pass
through.

How well did you know this?
1
Not at all
2
3
4
5
Perfectly
14
Q

Sterols

A

lipid found in cells, but they are not fats or oils

complex ring structures with a hydroxyl (OH) group at one end

amphipathic

The hydroxyl group is polar and therefore hydrophilic ,hydrophobic

How well did you know this?
1
Not at all
2
3
4
5
Perfectly
15
Q

Sterols: Cholesterol

A

produced in the liver and intestines
important in the formation of cell membranes
flattened in shape
fit between phospholipids which allows phospholipids to pack tightly
more rigid and less fluid, provides stability to the membrane
increases fluidity at low temperatures and decreases fluidity at high temperatures