Lipids Flashcards

(42 cards)

1
Q

What are the structural characteristics of lipids?

A
How well did you know this?
1
Not at all
2
3
4
5
Perfectly
2
Q

What are the functional characteristics of lipids?

A

Active:
-Pigments
-Hormones

How well did you know this?
1
Not at all
2
3
4
5
Perfectly
3
Q

What are fatty acids?

A
How well did you know this?
1
Not at all
2
3
4
5
Perfectly
4
Q

What is the nomenclature for fatty acids?

A
How well did you know this?
1
Not at all
2
3
4
5
Perfectly
5
Q

Describe fatty acid structure

A
How well did you know this?
1
Not at all
2
3
4
5
Perfectly
6
Q

What fatty acids are of nutritional importance?

A
How well did you know this?
1
Not at all
2
3
4
5
Perfectly
7
Q

What is triacylglycerol?

A
How well did you know this?
1
Not at all
2
3
4
5
Perfectly
8
Q

Why are fats key molecules for long term energy storage?

A
How well did you know this?
1
Not at all
2
3
4
5
Perfectly
9
Q

What is saponification?

A
How well did you know this?
1
Not at all
2
3
4
5
Perfectly
10
Q

What are waxes and their function?

A
How well did you know this?
1
Not at all
2
3
4
5
Perfectly
11
Q

Explain structural lipids in membranes

A
How well did you know this?
1
Not at all
2
3
4
5
Perfectly
12
Q

What are glycerophospholipids?

A
How well did you know this?
1
Not at all
2
3
4
5
Perfectly
13
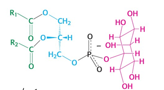
Q

Draw the structure of Phosphatidylinositol and what is its function?

A

involved in intracellular signal transduction

How well did you know this?
1
Not at all
2
3
4
5
Perfectly
14
Q

What are galactolipids and sulpholipids?

A
How well did you know this?
1
Not at all
2
3
4
5
Perfectly
15
Q

What are sphingolipids?

A
How well did you know this?
1
Not at all
2
3
4
5
Perfectly
16
Q

Describe archaebacteria (extremophiles)

A
How well did you know this?
1
Not at all
2
3
4
5
Perfectly
17
Q

What are sterols?

18
Q

What is cholesterol?

19
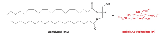
Q

Draw the structure of DAG and IP3

20
Q

How does Phophatidylinositol Act as an intracellular signal?

21
Q

What are steroid hormones?

A

-Hydrohpobic oxidized sterol derivaties
-carried through bloodstream by carrier proteins
-pass through plasma membrane to bind receptors in the nucleus
-alter patters of gene expression and metabolism
-precurson to hormones (signalling)

22
Q

What are characteristics of vitamins A,D,E,K

A

-All contain rings and long, aliphatic side chains
-All are highly hydrophobic
-differ widely in their functions

23
Q

Describe vitamin D

A

-Regulates Ca2+ uptake and deposition
-Can be obtained from the diet or produced endogenously
-Endogenous production occurs in a series of reactions, one of which requires UV light
-Insufficient vitamin D is associated with skeletal defects (rickets)
-Excessive vitamin D can cause calcification of soft tissues

24
Q

describe vitamin A

A

-Obtained from liver, egg yolks, and milk products
-Some animals have sufficient vitamin A in their livers to present a danger to humans if they were to consume them
-vitamin A exists in 3 forms: Alcoho (retinol), aldehyde and retinoic acid
-Retinal (aldehyde) is a light-sensitive compound with a role in vision. Deficiency causes night blindness
-“red eye” in photos results from retinal

25
Describe vitamin E (a-tocopherol)
-A reducing reagent that scavenges oxygen free radicals -may prevent damage to fatty acids in membranes -Often used as an additive in cosmetics -deficiency causes scaly skin, muscular weakness and sterility
26
What are the common carbon chain lengths of fatty acids in plants and animals?
16-18 (most common) 20-22 (nutrients such as omegas)
27
What does unsaturated fatty acid mean?
1 or more double bonds
28
What are delta vs omega nomenclatures of unsaturated fatty acids?
Delta: COOH end Omega: CH3 end
29
Are C=C double bonds commonly in cis or trans configuration? Why is it important?
Cis: Makes a structural kink change
30
Why do animal fat and plant oil look and feel so different while they are all tracylglycerols?
Cis double bonds found it plant oil make kinks that don't allow for tight packing that makes the gel like structure in animal fats
31
Why are omega-3 fatty acids such as DHA branded as nutrional supplements?
-The body cannot make omega 3 or 6 fatty acids, must come from food -Abundant in brain and spinal chord
32
To form micelles, do we need a polar group in addition to the hydrophobic tail?
Yes, need hydrophilic head to maintain structure of biological membranes
33
Which one has higher energy stored in one gram: sugar or fat, and why?
Fat, has a low oxidation state that burns more efficiently and a low hydration state that limit water interaction and are a more compact, dehydrated energy storage form
34
In biological membranes, how many long hydrophobic tails does a membrane-forming lipid molecule have?
Two hydrophobic tails per one hydrophilic head
35
How many backbones are commonly found in lipids? what are they?
Glycerol: -Triacylglycerols -Glycerophospholipids -Galactolipids (sulfolipids) Sphingosine: -Sphingolipids
36
How many types of polar head groups are commonly found in lipids? What are they?
Phospho and glyco (sugars)
37
Which type of lipids are richest in oligosaccharide varieties?
Glycosphingolipids
38
Which type of lipids determines blood type?
Glycosphingolipids
39
Are biological membranes typically bi-layered or mono-layered? What organisms are the exception?
Typically bilayered, Archaebacteria (extremophiles) are the exception because they live under conditions of high temp, pH and ionic strength
40
Which type of lipid is often found to modulate the fluidity of biological membrane?
cholesterols
41
How does PIP2 processed to produce two signaling molecules? What are they?
Activation of PLC in response to extracellular signal triggers cleavage of PIP2 to produce IP3 which increases Ca2+ in which Ca and DAG activate specific intracellular pathways and processes -IP3 and DAG
42
What type of compounds are sex hormones?
Steroid hormones (hydrophobic oxidized sterol derivatives)