How are lipids defined
by chemical property of hydrophobicity - dissolved in organic solvents
What are the biological functions of lipids
Light absorbing pigments: caratene
What are glycolipids
contain both sugar and lipid portions. important constituents of cell membranes
ex: human blood group are defined by glycolipids displayed on the outer surface of blood cells
ex: sphingolipids, gangliosides
what are lipoproteins
What are triacylglycerols
What are phosphoglycerides
What are fatty acids
What is the strucutre of a fatty acid?
How are fatty acids named
What are the common features of fatty acids

What are common occuring saturated fatty acids
Laurate: 12 (bay, laurel)
Myristate: 14 (myrtle nutmeg)
Palmitate: 16 (palm)
Stearate: 18 (tallow)
Arachidate: 20 (peanut
*Let Me Pick Some Apples
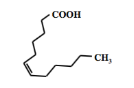
What are the typical unsaturated
*dont memroize structures just know how to name

What are transfatty acids

how does solubilty and melting point differ from saturated fatty acids and unsaturated
* due to extended nature, trans fatty pack more regualrly and show higher melting temp than cis formation
**double bonds melt easier**
What are derivatives of fatty acids
Carboxylic acids can combine with alcohols to form Esters
Carboxylic acids can combine with acids to form acid Anhydrides

What are Triacylglycerols?
TAGS (Fats and oils)
What are most natural fats comprised of
complex mixtures of simple and mixed TAGs
*Higher amount of long chain (C16 and C18) saturated fatty acids, higher the melting temperature of a natural fat

What are phosphate derivatives? why are they important?
Phosphoric acid (H3PO4) is a triprotic acid

When phosphoric acids reacts with alcohols:
phosphate ester is formed

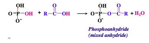
When phosphoric acid reacts with acids:
phosphoanhydrides are formed

What are glycerophospholipids

What are the Major classes of Glycerophospholipids

What is Phosphatidycholine
What happens to lipids in water
