Lipids - Structure Flashcards

(14 cards)

1
Q

What are the main FOUR classes of lipids?

A
  1. Fatty acids
  2. Triacylglycerols
  3. Phospholipids
  4. Steroids
How well did you know this?
1
Not at all
2
3
4
5
Perfectly
2
Q

What are the features of Fatty Acids?

A
  1. Hydrocarbon chain
  2. Insoluble in water
  3. Highly soluble in organic solvents
  4. Known as mono carboxylic acids
How well did you know this?
1
Not at all
2
3
4
5
Perfectly
3
Q

What is the difference between saturated and unsaturated fatty acids?

A

Saturated fatty acids have the maximum number of hydrogen atoms possible and no double bonds.

Unsaturated fatty acids have one or more double bonds and don’t have maximum number of hydrogens

How well did you know this?
1
Not at all
2
3
4
5
Perfectly
4
Q

What does 18:1∆9 mean in regards to an unsaturated fatty acid?

A

18 carbons
1 double bond
Double bond position - between C9 and C10

How well did you know this?
1
Not at all
2
3
4
5
Perfectly
5
Q

TRUE OR FALSE: Saturated and unsaturated have the same melting points

A

FALSE.

Unsaturated fatty acids have a lower melting point

How well did you know this?
1
Not at all
2
3
4
5
Perfectly
6
Q

Does the chain length of a fatty acid have an impact on the melting point?

A

YES. The longer the chain, the higher the melting point

How well did you know this?
1
Not at all
2
3
4
5
Perfectly
7
Q

What are the two types of Triacylglycerols?

A

SIMPLE - have the same fatty acid in all three chains

MIXED - 2 or more different fatty acids in each chain

How well did you know this?
1
Not at all
2
3
4
5
Perfectly
8
Q

What is the structure of a Phospholipid?

A

2 Fatty Acids + Phosphate group + an Alcohol, attached to Glycerol

How well did you know this?
1
Not at all
2
3
4
5
Perfectly
9
Q

Describe an Amphipathic molecule

A

Contains both polar and non-polar groups (hydrophilic and hydrophobic)

How well did you know this?
1
Not at all
2
3
4
5
Perfectly
10
Q

Where are the fatty acid chains attached to on the glycerol in a Phospholipid?

A

Carbons 1 and 2

How well did you know this?
1
Not at all
2
3
4
5
Perfectly
11
Q

Where is the alcohol attached to on the glycerol in a Phospholipid?

A

Carbon 3

How well did you know this?
1
Not at all
2
3
4
5
Perfectly
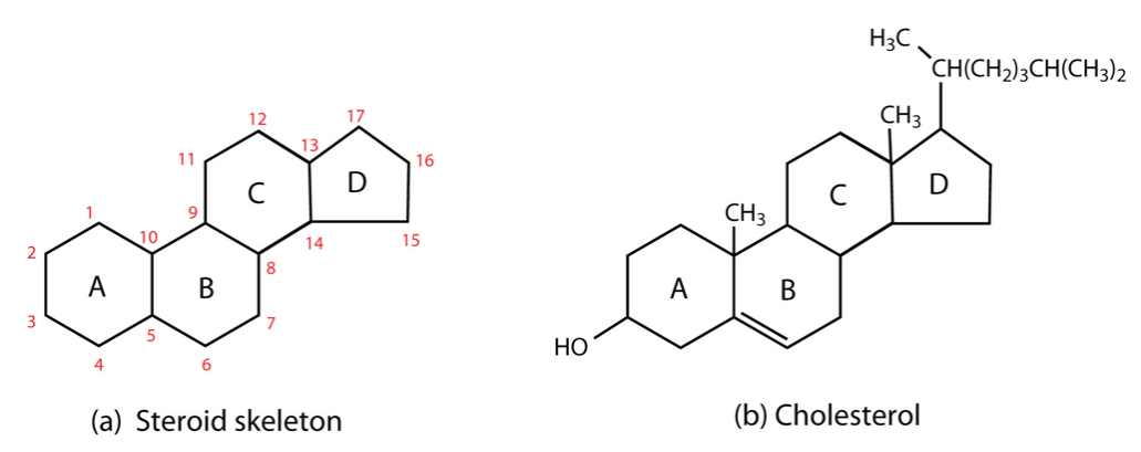
12
Q

How are steroids characterised?

A

A carbon skeleton consisting of FOUR fused rings (3 with 6C and 1 with 5C)

How well did you know this?
1
Not at all
2
3
4
5
Perfectly
13
Q

Name a common Steroid

A

Cholesterol

How well did you know this?
1
Not at all
2
3
4
5
Perfectly
14
Q

What type of Lipid is most abundant in plasma membranes?

A

Phospholipids

How well did you know this?
1
Not at all
2
3
4
5
Perfectly