What are the Emergency Core Cooling System (ECCS) acceptance criteria?
Coolable Geometry
Long-Term cooling
Cladding Oxidation
≤ 17% the total cladding thickness before oxidation.
DBAs:
What fills/drains the accumulators?
# *_Fill:_* HHSI
In order for the RWST to be OPERABLE in MODES 1 - 4, what must water volume and boron concentration be?
≥ 458,000 gallons
2800 ppm - 3000 ppm
LCO 3.5.5 RWST
Applicable: MODES 1 - 4

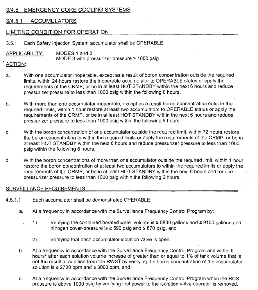
In order for the accumulators to be OPERABLE in MODES 1 - 3 w/ PZR pressure > 1000 psig, what must water volume and boron concentration be?
LCO 3.5.1 Accumulators
Applicable: MODES 1 - 3

What valves in the ECCS have a power lockout feature?
No accumulator pressure / level indicators exist on ASP!!

What will auto open the accumulator discharge valve? (MOV-039)

SI
How do you place ECCS in-service during a plant heatup from cold shutdown?
At what RCS pressures will the ECCS Accumulators, HHSI pumps, and LHSI pumps inject into the RCS Cold Legs?
Receive water from RWST.
Where does HHSI and LHSI mini-flow valves discharge to?
RWST

Close on SI auto recirculation signal
Which valves will not be able to be manually opened if the respective train’s Emergency Sump Outlet Valve (MOV-016) is open?
HHSI Mini-Flow Valves (MOV-011/MOV-012)
LHSI Mini-Flow Valves (MOV-013/MOV-014)
RWST Outlet Valves (MOV-001)
To manually open Emergency Sump Outlet Valve:

What are the four phases of a DBA LOCA?
What is the system lineup during hot leg recirc?
2 ECCS trains injecting into Hot Legs
1 ECCS train injecting into Cold Leg
LHSI and HHSI mini-flow valves closed
Taking Suction from Emergency Sumps
HHSI and LHSI are operated together. Never align HHSI to Hot leg and LHSI to Cold leg or vice versa.
What will cause an SI auto recirculation signal?
SI Signal
AND
Closes HHSI AND LHSI pump mini-flow valves.
When ≥ 1 valve for each pump closed:
RWST → SI suction header isolation valve must be manually closed by operator. (CP001)

What cools the HHSI/LHSI upper and lower bearings?
Resevoir Oil Baths
When must all HHSI pumps be inoperable per tech specs?

LCO 3.5.3.2 ECCS Subsytems - Tavg ≤ 200 ˚F
When does the accumulator relief lift?

700 psig
Relieves to Containment Atmosphere