lower bound for a European call on a non-dividend paying stock

the lower bound for a European call option on a stock which pays a dividend yield

lower bound for a European put on a non-dividend paying stock was

the lower bound for a European put option on a stock which pays a dividend yield

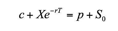
put-call parity for a European call and put option on a non-dividend paying stock

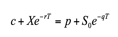
put-call parity relationship on a stock paying a dividend yield at rate q

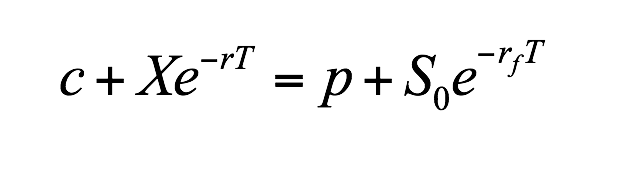
put call parity for foreign currency options

Black-Scholes for Dividend Yielding Stocks
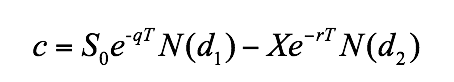
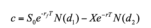
Formula to find price of European calls on dividend yielding stocks:

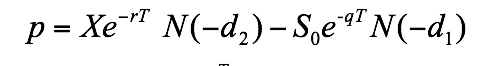
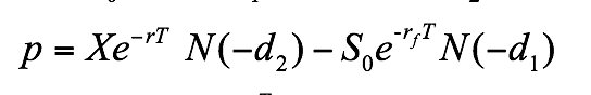
Formula for European put option on dividend yielding stock

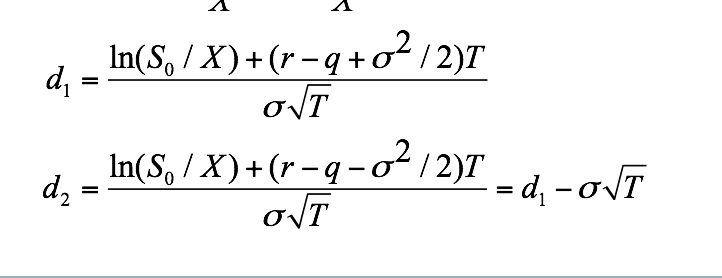
What is d1 and d2 on dividend yielding stocks

Black-Scholes for Dividend Yielding Stocks
FX call option

Black-Scholes for Dividend Yielding Stocks
FX put option

Black-Scholes for Dividend Yielding Stocks
D1 and d1 for FX options

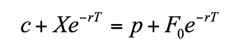
put-call parity for a futures options

•For American futures, the put-call parity relationship is:

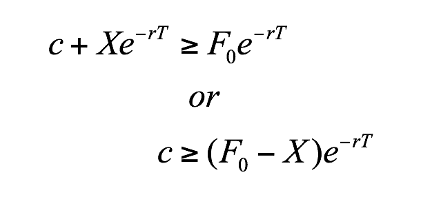
lower bound for european future call option

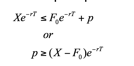
lower bound for a futures put option

lower bounds for american future options

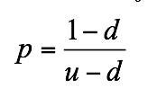
what is the risk neutral probability distribution p for an option written on a futures contract.

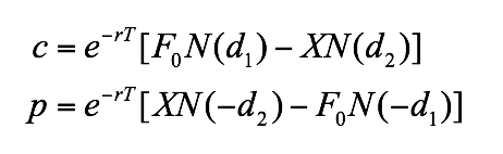
price on option written on futures

price for both European calls and puts on futures via Black-Scholes Model

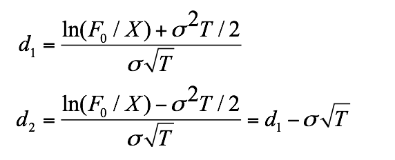
d1 and d2 for futures options

American or European call option
upper bound

European put option
upper bound
