Machine Learning Probability Flashcards

(14 cards)

1
Q

Red Box / Blue Box

The red box has 2 apples and 6 oranges. The blue box has 3 apples and 1 orange.

Now suppose we pick a box at random, and it turns out to be a blue box. Then the probability of selecting an apple is just the fraction of apples in the blue box, is 𝑝(𝐹=π‘Ž|𝐡=𝑏) =

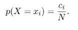
A

𝑝(𝐹=π‘Ž|𝐡=𝑏) = 3/4

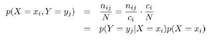
How well did you know this?
1
Not at all
2
3
4
5
Perfectly
2
Q

Red Box / Blue Box

The red box has 2 apples and 6 oranges. The blue box has 3 apples and 1 orange.

Now suppose we pick a box at random, and it turns out to be a red box. Then the probability of selecting an apple is just the fraction of apples in the red box, is 𝑝(𝐹=π‘Ž|𝐡=π‘Ÿ)=

A

𝑝(𝐹=π‘Ž|𝐡=π‘Ÿ)= 1/4

How well did you know this?
1
Not at all
2
3
4
5
Perfectly
3
Q

Red Box / Blue Box

The red box has 2 apples and 6 oranges. The blue box has 3 apples and 1 orange.

Now suppose we pick a box at random, and it turns out to be a blue box. Then the probability of selecting an orange is just the fraction of oranges in the blue box, is 𝑝(𝐹=π‘œ|𝐡=𝑏)=

A

𝑝(𝐹=π‘œ|𝐡=𝑏)= 1/4

How well did you know this?
1
Not at all
2
3
4
5
Perfectly
4
Q

Red Box / Blue Box

The red box has 2 apples and 6 oranges. The blue box has 3 apples and 1 orange.

Now suppose we pick a box at random, and it turns out to be a red box. Then the probability of selecting an orange is just the fraction of oranges in the red box, is 𝑝(𝐹=π‘œ|𝐡=𝑏)=

A

𝑝(𝐹=π‘œ|𝐡=𝑏)= 3/4

How well did you know this?
1
Not at all
2
3
4
5
Perfectly
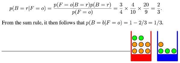
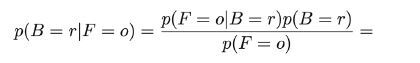
5
Q

Red Box / Blue Box

The red box has 2 apples and 6 oranges. The blue box has 3 apples and 1 orange.

A piece of fruit has been selected and it is an orange, the probability that the box is blue is

A
How well did you know this?
1
Not at all
2
3
4
5
Perfectly
6
Q

If the joint distribution of two variables factorizes into the product of the marginals, then X and Y are said to be…

A

independent

𝑝(𝑋,π‘Œ) = 𝑝(𝑋)𝑋 𝑝(π‘Œ)

How well did you know this?
1
Not at all
2
3
4
5
Perfectly
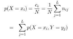
7
Q

Marginal Probability

A
How well did you know this?
1
Not at all
2
3
4
5
Perfectly
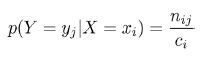
8
Q

Conditional Probability

A
How well did you know this?
1
Not at all
2
3
4
5
Perfectly
9
Q

Joint Probability

A
How well did you know this?
1
Not at all
2
3
4
5
Perfectly
10
Q

Sum Rule

A
How well did you know this?
1
Not at all
2
3
4
5
Perfectly
11
Q

Product Rule

A
How well did you know this?
1
Not at all
2
3
4
5
Perfectly
12
Q

Symmetry
Using product rule

A

𝑝(𝑋,π‘Œ) = 𝑝(π‘Œ,𝑋)
𝑝(π‘Œ,𝑋) = 𝑝(𝑋|π‘Œ)𝑝(π‘Œ)

How well did you know this?
1
Not at all
2
3
4
5
Perfectly
13
Q

Using Sum and
Product rule

A

𝑝(𝑋) = Ξ£y𝑝(𝑋,π‘Œ) = Ξ£y𝑝(π‘Œ,𝑋) = Ξ£y𝑝(𝑋|π‘Œ)𝑝(π‘Œ)

How well did you know this?
1
Not at all
2
3
4
5
Perfectly
14
Q

Bayes’ Theorem

A
How well did you know this?
1
Not at all
2
3
4
5
Perfectly