Em qual situação um sistema linear homogêneo é um Sistema Possível Determinado (S.P.D), em relação ao seu Determinante?
Quando det(A) é diferente de zero o sistema linear homogêneo é possível e determinado, admitindo somente a solução trivial nula.
Um sistema linear homogêneo ocorre quando os termos independentes são iguais a zero.
Em qual situação um sistema linear homogêneo é um Sistema Possível Indeterminado (S.P.I), em relação ao seu Determinante?
Quando det(A) é igual a zero o sistema linear homogêneo é possível e indeterminado, admitindo infinitas soluções, incluindo-se a trivial.
Um sistema linear homogêneo ocorre quando os termos independentes são iguais a zero.
Em relação ao Determinante, quando sabemos que um Sistema Linear Não Homogêneo(Inomogêneo) é Possível ou Impossível?
Quando det(A) é diferente de zero => o sistema é possível determinado
Quando det(A) é igual a zero => o sistema ou é impossível ou indeterminado
Obs: a matriz do determinante deve incluir os termos independentes.
O que é um sistema linear homogêneo e inomogêneo?
Homogêneo => coeficiente constante é nulo.
Inomogêneo(Não Homogêneo) => possui coeficiente constante diferente de zero.
O que o Determinante de um sistema linear inomogêneo nos diz sobre ele?
Determinante = 0 => S.P.I ou S.I
Determinante diferente de zero => S.P.D
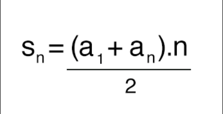
Qual a fórmula para a soma de “n” termos de uma PA?
A seguinte:
