Matematica Flashcards

(62 cards)

1
Q

Dimmi cos’è un’ellisse

A

Si chiama Ellisse la curva piana, luogo geometrica dei punti P tale che sia costante la somma delle distanze di P da F1 e da F2

How well did you know this?
1
Not at all
2
3
4
5
Perfectly
2
Q

Qual è la formula della parabola?

A

Y=ax^2+bx+c

Oppure

X=ay^2+by+c

How well did you know this?
1
Not at all
2
3
4
5
Perfectly
3
Q

Qual è la formula della circonferenza?

A

(x-xc)^2 + (y-yc)^2=r^2

How well did you know this?
1
Not at all
2
3
4
5
Perfectly
4
Q

Come trovo il centro di una circonferenza?

A

(x-xc)=0
(y-yc)=0

How well did you know this?
1
Not at all
2
3
4
5
Perfectly
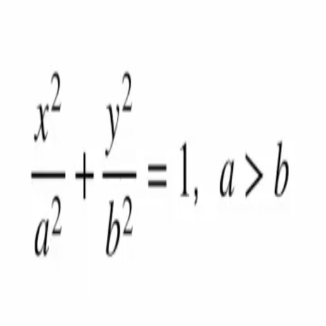
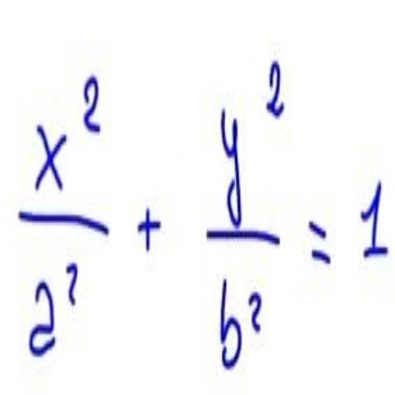
5
Q

Qual è la formula dell’ellisse?

A
How well did you know this?
1
Not at all
2
3
4
5
Perfectly
6
Q

Dimmi i vertici e i fuochi di una ellisse con asse maggiore sull’asse X

A

V1,2= (±a;0) ; V3,4= (0,±b)

F1,2= (±c,0)

How well did you know this?
1
Not at all
2
3
4
5
Perfectly
7
Q

Come trovo la semidistanza focale di un’ellisse?

A
How well did you know this?
1
Not at all
2
3
4
5
Perfectly
8
Q

Come calcolo l’eccentricità di un’ellisse con asse maggiore sulle X?

A

e= c/a

How well did you know this?
1
Not at all
2
3
4
5
Perfectly
9
Q

Come calcolo l’eccentricità di un’ellisse con asse maggiore sulle Y?

A

e= c/b

How well did you know this?
1
Not at all
2
3
4
5
Perfectly
10
Q

Dimmi come si fa il cambio di base di un logaritmo

A
How well did you know this?
1
Not at all
2
3
4
5
Perfectly
11
Q

Descrivi una funzione esponenziale

A

-È una quantità sempre positiva
-Funzione inversa del logaritmo
-Per le operazioni segue le regole delle potenze

How well did you know this?
1
Not at all
2
3
4
5
Perfectly
12
Q

Dimmi 4 cose sul periodo delle funzioni goniometriche

A

-y= sin× e y= cos× hanno periodo 2pigreco
-y= tg× e y= cotg× hanno periodo pari a pigreco
-y= Asin(Cx+D) e y=Acos(Cx+D) hanno periodo 2pigreco/C
-y= Atg(Cx+D) e y= Actg(Cx+D) hanno periodo pari a pigreco/C

How well did you know this?
1
Not at all
2
3
4
5
Perfectly
13
Q

Cosa sono i monomi simili?

A

Monomi con la stessa parte letterale

How well did you know this?
1
Not at all
2
3
4
5
Perfectly
14
Q

Quando posso sommare due monomi?

A

Quando sono simili

How well did you know this?
1
Not at all
2
3
4
5
Perfectly
15
Q

Cos’è un polinomio?

A

Somma di monomi non simili

How well did you know this?
1
Not at all
2
3
4
5
Perfectly
16
Q

Cos’è il grado di un polinomio?

A

Il grado del monomio di grado maggiore

How well did you know this?
1
Not at all
2
3
4
5
Perfectly
17
Q

Dimmi come si sviluppa la somma per differenza?

A

(a+b)(a-b)= a²-b²

How well did you know this?
1
Not at all
2
3
4
5
Perfectly
18
Q

Come converto i radianti in angoli sessagesimali?

A

180° : π = α° : αrad

How well did you know this?
1
Not at all
2
3
4
5
Perfectly
19
Q

Dimmi la relazione tra seno e coseno

A

Sen²α + Cos²α = 1

How well did you know this?
1
Not at all
2
3
4
5
Perfectly
20
Q

Come trovo la tangente di α?

A

Tanα = senα/cosα

How well did you know this?
1
Not at all
2
3
4
5
Perfectly
21
Q

Come trovo il valore della “x” del punto “P” (xp)?

A

Xp = cosα

How well did you know this?
1
Not at all
2
3
4
5
Perfectly
22
Q

Come trovo il valore della “y” del punto “P” (yp)?

A

Yp = senα

How well did you know this?
1
Not at all
2
3
4
5
Perfectly
23
Q

A cosa corrisponde il coseno sulla circonferenza goniometrica?

A

Al valore sull’asse delle “x”

How well did you know this?
1
Not at all
2
3
4
5
Perfectly
24
Q

A cosa corrisponde il seno sulla circonferenza goniometrica?

A

Al valore sull’asse delle “y”

How well did you know this?
1
Not at all
2
3
4
5
Perfectly
25
Quanto valgono i radianti per α°= 0°?
0
26
Quanto vale il cosα per α°=0°?
Cosα=1
27
Quanto vale sen30° oppure senπ/6?
1/2
28
Quanto vale il cos30° oppure cos π/6?
3½/2
29
Quanto vale tan30° oppure tan π/6?
3½/3
30
Quanto vale il sen45° oppure sen π/4?
2½/2
31
Quanto vale il cos45° oppure cos π/4?
2½/2
32
Quanto vale la tan45° oppure tan π/4?
1
33
Quanto vale il sen60° oppure sen π/3?
3½/2
34
Quanto vale il cos60° oppure cos π/3?
1/2
35
Quanto vale la tan60° oppure tan π/3?
36
Quanto vale sen90° oppure sen π/2?
1
37
Quanto vale il cos90° oppure il cos π/2?
0
38
Quanto vale la tan90° oppure tan π/2
Non esiste
39
Quanto vale il sen180° oppure sen π?
0
40
Quanto vale cos180° oppure cosπ?
-1
41
Quanto vale la tan180° oppure tan π?
0
42
Quanto vale il sen270° oppure sen 3/2π?
-1
43
Quanto vale il cos270° oppure cos 3/2π?
0
44
Quanto vale il sen360° oppure sen2π?
0
45
Quanto vale il cos360° oppure cos2π?
1
46
Quanto vale la tan360° oppure tan2π?
0
47
Che tipo di angolo è π-α?
Un angolo rosso
48
Che tipo di angolo è π/2-α?
Un angolo blu
49
Che tipo di angolo è π+α?
Un angolo rosso
50
Che tipo di angolo è π/2+α?
Un angolo blu
51
Che tipo di angolo è 2π-α?
Un angolo rosso
52
Che tipo di angolo è 3/2π-α?
Un angolo blu
53
Che tipo di angolo è 3/2π+α?
Un angolo blu
54
Cosa si intende per "angolo rosso"?
Con quel angolo la funzione non cambia (senα rimane senα, stessa cosa con cosα), può cambiare il segno a seconfa del quadrante in cui si cade
55
Cosa si intende per angolo blu?
La funzione cambia (senα diventa cosα e cosα diventa senα), può cambiare il segno a seconda del quadrante in cui cadiamo
56
Come sviluppo con le formule di prostaferesti "senα+senß"?
=2sen(α+ß/2) cos(α-ß/2)
57
Come sviluppo "senα-senß" con le formule di prostaferesi?
=2sen(α-ß/2) cos(α+ß/2)
58
Come sviluppo "cosα+cosß" con le formule di prostaferesi?
=2cos(α+ß/2) cos(α-ß/2)
59
Come sviluppo "cosα-cosß" con le formule di prostaferesi?
=-2sen(α+ß/2) sen(α-ß/2)
60
Cosa significa C.A.S.O?
Cosegno adiacente Seno opposto
61
Cosa significa C.A.T.O.?
Cotangente adiacente Tangente opposta
62
Dimmi come trovare "m" sapendo "α"
m= tanα