MATH Flashcards

(68 cards)

1
Q

Consider the set of all integers without zero. Is the operation division a binary operation on that set?

A) Yes, because zero is not included.
B) No, for another reason.
C) No, because zero is not included.
D) Yes, for another reason.

A

B)

How well did you know this?
1
Not at all
2
3
4
5
Perfectly
2
Q

Find absolute values of the following numbers: −2, 4, −11

A) −2, 4, 11
B) 2, −4, 11
C) 2, 4, 11
D) ∣2∣, ∣4∣, ∣11∣

A

C)

How well did you know this?
1
Not at all
2
3
4
5
Perfectly
3
Q

Find the additive inverse to 2012

A) 1
B) 2012
C) −1
D) There is none.
E) −2012

A

E)

How well did you know this?
1
Not at all
2
3
4
5
Perfectly
4
Q

Find the additive inverse to −√ ̅7

A) −√7
B) −√7/7
C) 1 / √7
D) √ 7
E) − 1/ √7

A

D)

How well did you know this?
1
Not at all
2
3
4
5
Perfectly
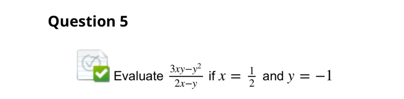
5
Q

Rank the following numbers on the number line in increasing order:
−√26, 3.00001, −5, √10

A

B) −√26, −5, 3.00001, √10

How well did you know this?
1
Not at all
2
3
4
5
Perfectly
6
Q

Given x=3, y=−2, z= 1/3, evaluate −xy/z

A) −2
B) 18
C) 2
D) −18
E) None of these.
F) There is no solution.

A

B)

How well did you know this?
1
Not at all
2
3
4
5
Perfectly
7
Q

Is the sum of any two negative numbers always negative?

A) No, it is positive.
B) Yes.
C) No, sometimes the sum is positive and sometimes negative.

A

B)

How well did you know this?
1
Not at all
2
3
4
5
Perfectly
8
Q
A

Answer: 13/10

How well did you know this?
1
Not at all
2
3
4
5
Perfectly
9
Q

Find the multiplicative inverse to −√7

A

Answer − 1/√7

How well did you know this?
1
Not at all
2
3
4
5
Perfectly
10
Q

In the week 1 lecture, several binary operations such as AND and OR were defined on the (binary) set made up of 0 and 1. Define a binary operation on the same set (0 and 1) that is different from AND and OR by specifying the assignments (maps) for all possible pairs of elements.

A) 0, 0 → 0
0, 1 → 1
1, 0 → 0
1, 1 → 1

B) 0, 0 → 0
0,1 → 1
1, 0 → 1
1, 1 → 2

C) 0, 0 → 1
0, 1 → 1
1, 0 → 1
1, 1 → 1

D) 0, 0 → 0
0, 1 → 0
1, 0 → 0
1, 1 → 1

E) 0, 0 → 0
0, 1 → 1
1, 0 → 1
1, 1 → 1
F) 0, 0 → 0
0, 1 → 0
1, 0 → 0
1, 1 → 0

A

A) C) F)

How well did you know this?
1
Not at all
2
3
4
5
Perfectly
11
Q

Simplify

A
How well did you know this?
1
Not at all
2
3
4
5
Perfectly
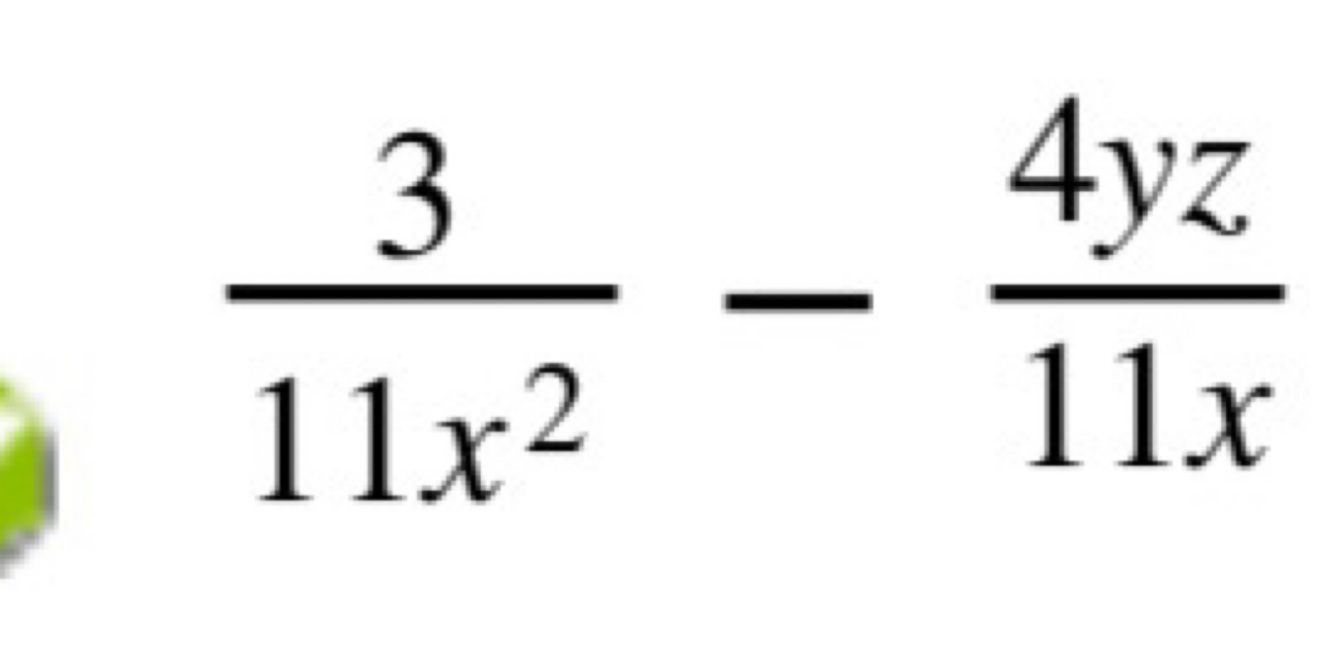
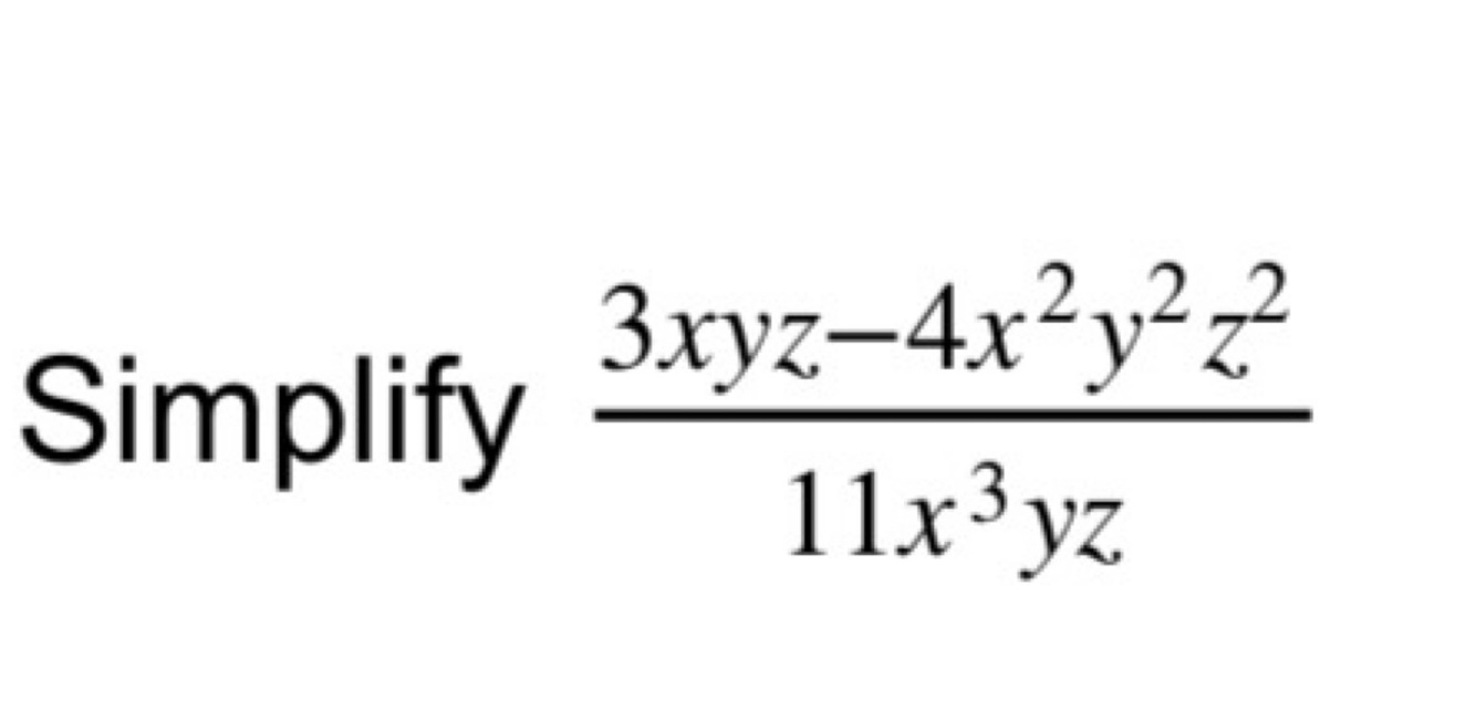
12
Q

Simplify

A
How well did you know this?
1
Not at all
2
3
4
5
Perfectly
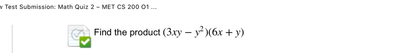
13
Q

Find the Product

A
How well did you know this?
1
Not at all
2
3
4
5
Perfectly
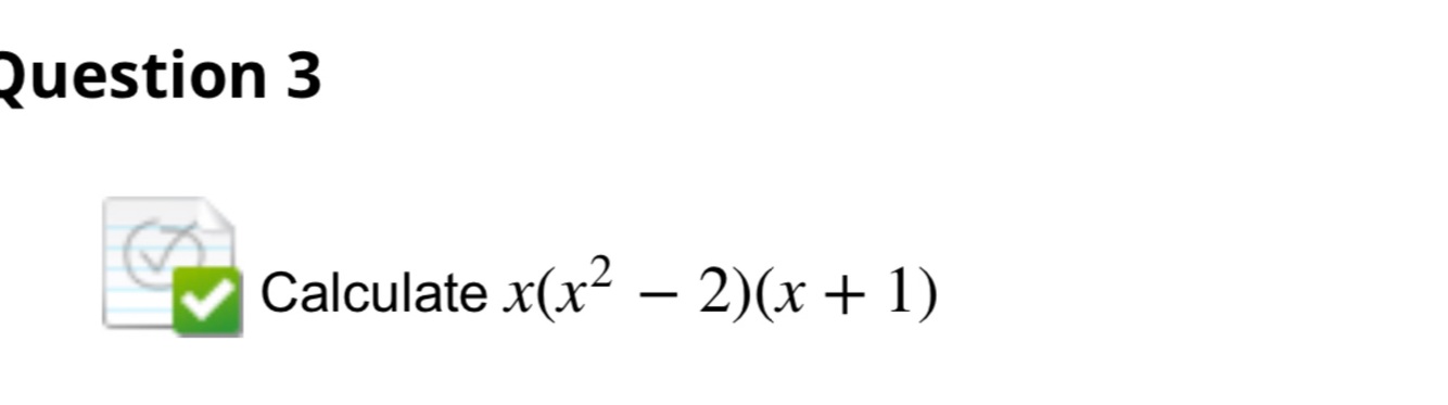
14
Q

Calculate

A
How well did you know this?
1
Not at all
2
3
4
5
Perfectly
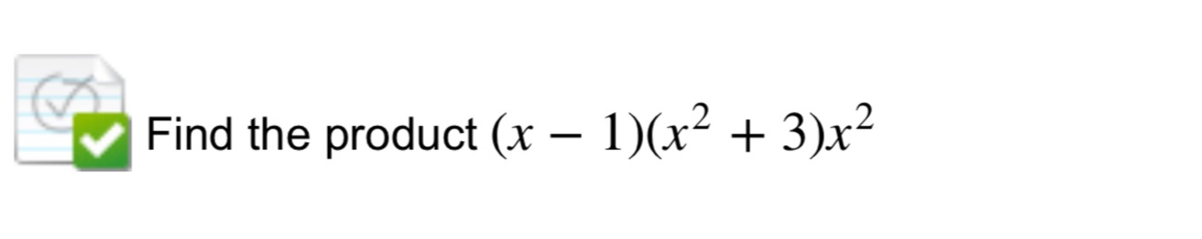
15
Q

Find the Product

A
How well did you know this?
1
Not at all
2
3
4
5
Perfectly
16
Q

Evaluate

A
How well did you know this?
1
Not at all
2
3
4
5
Perfectly
17
Q

Is the operation multiplication a binary operation on the set of even numbers?

A

Yes

How well did you know this?
1
Not at all
2
3
4
5
Perfectly
18
Q

Is the operation multiplication a binary operation on the set of odd numbers?

A

Yes

How well did you know this?
1
Not at all
2
3
4
5
Perfectly
19
Q

Is the operation addition a binary operation on the set of odd numbers?

A

No

How well did you know this?
1
Not at all
2
3
4
5
Perfectly
20
Q

Is the operation multiplication a binary operation on the set of numbers divisible by 3?

A

Yes

How well did you know this?
1
Not at all
2
3
4
5
Perfectly
21
Q

Is the operation multiplication a binary operation on the set of numbers less than 13?

A

No

How well did you know this?
1
Not at all
2
3
4
5
Perfectly
22
Q

Is the operation addition a binary operation on the set of numbers divisible by 5?

A

Yes

How well did you know this?
1
Not at all
2
3
4
5
Perfectly
23
Q

Is the operation multiplication a binary operation on the set of numbers greater than 13?

A

Yes

How well did you know this?
1
Not at all
2
3
4
5
Perfectly
24
Q

Is the operation addition a binary operation on the set of even numbers?

A

Yes

How well did you know this?
1
Not at all
2
3
4
5
Perfectly
25
Is the operation addition a binary operation on the set of numbers greater than or equal to 13?
Yes
26
Factor
27
Factor
28
Factor
29
Factor
30
Factor
31
Calculate
32
Calculate
33
Reduce
34
Calculate
35
Reduce
36
Simplify
37
Calculate
38
Simplify
39
Calculate
40
Calculate
41
Find the value of the function
42
Find the value f(x)
43
Find the domain
44
Is the graph symmetric
Yes
45
Find the Range A) The range is the set of all positive numbers B) The range is the set of all real numbers except for 0 C) The range is the set of all real numbers D) The range is 0 E) The range is the set of all nonnegative numbers
A)
46
Is the graph symmetric with respect to the origin
No
47
Find the domain
48
Solve
49
Solve
50
Solve
51
Solve
52
Solve
53
Find the equation of the line that goes through the point (−1, 2) and is parallel to the x-axis. A) y=2 B) y = −1 C) x = −1 D) x=2 E) x=0
A)
54
Find the equation of the line that goes through the points (−1, 1) and (2, 0) A) y = −1/3 (x − 1) B) y = − 1/3 (2x − 1) C) y= 1/3(x−2) D) y= 1/3(2x−1) E) y = − 1/3 (x − 2)
E)
55
Find the equation of the line that goes through the point (−1, 2) and is parallel to the line −x − 3y + 1 = 0 A) y= 1/3x+ 5/3 B) y= −1/3x−5/3 C) y= −1/3x+3/5 D) y = −3x + 5/3 E) y= −1/3x+5/3
E)
56
Find the slope of the line that goes through the points (1, 1) and (−2, 3) A) 2/3 B)− 3/2 C) 3/2 D) − 2/3 E) −1
D)
57
Find the equation of the line that is parallel to the y-axis and goes through the point (−1, 1) A) x = −1 B) y=1 C) x=1 D) y = −1 E) y = −x
A
58
Find the equation of the line that goes through the point (2, −1) and is parallel to the y-axis A) x=2 B) x = −1 C) y=2 D) y = −1 E) None of these
A)
59
Find the x-intercept of the line 4x + 2y = 1 A) x=1 B) x=1/2 C) x=2 D) x=4 E) x=1/4
E)
60
Find the x-intercept of the line x = −7 A) x = −7 B) y = −7 C) x= −1/7 D) does not exist E) x=0
A)
61
Find the y-intercept of the line 2y − 3x = 2 A) y=2 B) y=1/2 C) y = −3 D) y=1 E) y=−1
D)
62
Find the equation of the line that goes through the point (−1, 3) and is parallel to the x-axis A) y = −1 B) x = −1 C) x = 3 D) y = −3 E) y = 3
E)
63
Solve
64
Solve
65
Solve
66
Solve
67
Solve
68
Solve inequality