Math Formulas Flashcards

(4 cards)

1
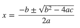
Q

Quadratic Formula

A
How well did you know this?
1
Not at all
2
3
4
5
Perfectly
2
Q

The Pythagorean Theorem

A
How well did you know this?
1
Not at all
2
3
4
5
Perfectly
3
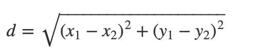
Q

Distance Formula 1

A

d = rt (distance = rate x time)

How well did you know this?
1
Not at all
2
3
4
5
Perfectly
4
Q

Distance Formula 2

A
How well did you know this?
1
Not at all
2
3
4
5
Perfectly