Simple Interest rate
Interest= (principle)(rate)(time)
Principle is the amount of money initially invested or deposited
rate is annual interest rate
time is the time the money stays there
Percent Increase Change
% change= change × 100 / original change

Area of a Sector
X/360 times (πr²)

Length of an arch

Pythagorean triple
**3:4:5 **
5:12:13
8:15:17
7:24:25
90,45,45 triangle

90,60,30 Triangle

Compound Interest
P = Principal
r = annual interest rate (as a decimal
c = number of “compoundings” per year
n = number of years

sum of angels
180°(n-2)
Given two sides of length a and b in a triangle
difference of a and b ∠ length of third side ∠ sum of a and b
A-B < C < A+B
time
distance/rate
Area of a Rhombus

Avg. speed

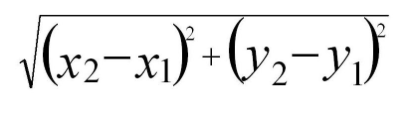
Distance between two points

Distance
Rate x Time
Time
distance / rate
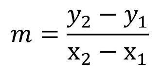
Slope

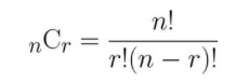
Combination Formula
n being the number of items
r being the number of groups or combo// or objects that can be selected from n

arranging objects when they are alike
(Mississippi Rule)
for instance Nanny

Range
Max - Min
Finding a certain sequence
Xn=3n+2
n being the value of the term in the order
For instance:
if n>0
we give n=1 to find the first term
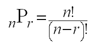
Permutation formula

Percentages: % Decrease
(Amount of Decrease/ Original Whole) x 100%

Percentages: % Increase
(Amount of Increase/ Original whole ) x 100%