1/x or x-1
derivative
integral
-x-2
ln (x)
eax
derivative
integral
-aeax
eax/ a
ln (x)
derivative
integral
1 / x
x (ln (x)) - x
Measure of molecular weight or mass
Dalton
Pascal
Force / area
N / m2
A frequency of 1 cycle per second
Hertz
What is the air flow (L/min) if O2 is 1L/min and FiO2= 30?
7 L/min
What is the volume of plasma withing the vascular area?
3 liters
What is the volume of interstitial fluid in the extravascular space?
11 liters
What type of fluid is D5W and plasmalyte?
crystalloid
What type of fluid is hydroxyethyl starch like Hespan, Hextend?
colloid
Isotonic crystalloid will equilibrate between the plasma and interstitial fluid. Therefore at equilibrium, only ___ to ___ of the administered volume will remain in the plasma.
1/4 to 1/3
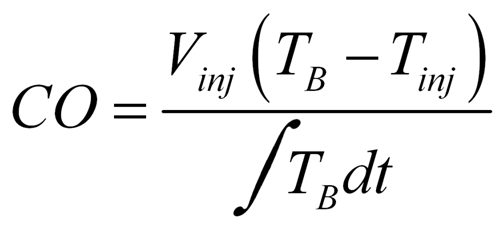
The washout curve to measure cardiac output is what type of curve?
negative exponential
1 N / meter2
pressure is force/area
Pascal
Energy expended when the point of application of a force of 1 Newton moves 1 meter in the direction of the force.
1 Joule = 1 N*m
What is the rate of energy expenditure?
power (Watt)
1 Watt = Joule / second
The difference of electrical potential between two points of a conductor, carrying a constant current of 1 ampere, when the power dissipated between these points is 1 watt.
V = W/A
Estimated blood volume for:

Cardiac output curve
High on left, low on right

Thermal dilution technique for the measurement of cardiac output: what is the major change that is noted?
decrease in temperature

time constant equation (2)
volume / flow
C * R (compliance * resistance)
Compliance (C)
►V / ►P

Volume a t seconds equation:
Voe-t/CR

Preoxygenation is also known as ________
denitrogenation