Maths Flashcards

(27 cards)

1
Q

Qu’est-ce qu’une expression littérale ?

A

Expression contenant des lettres représentant des nombres.

Utilisée pour exprimer des relations algébriques.

How well did you know this?
1
Not at all
2
3
4
5
Perfectly
2
Q

Comment factoriser une expression ?

A

En mettant en évidence un facteur commun ou en utilisant des identités remarquables.

Le résultat a toujours des parenthèses

La factorisation simplifie les calculs algébriques.

How well did you know this?
1
Not at all
2
3
4
5
Perfectly
3
Q

Comment développer une expression ? Qu’est ce qu’un développement ?

A

Enlever les parenthèses.

En utilisant la distributivité ou en appliquant des identités remarquables

How well did you know this?
1
Not at all
2
3
4
5
Perfectly
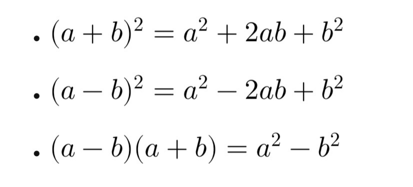
4
Q

Citer les trois identités remarquables.

A

Ces identités sont fondamentales en algèbre.

How well did you know this?
1
Not at all
2
3
4
5
Perfectly
5
Q

Comment calculer les coordonnées du milieu M de A(x₁,y₁) et B(x₂,y₂) ?

A

Utilisé pour trouver le point central entre deux points.

How well did you know this?
1
Not at all
2
3
4
5
Perfectly
6
Q

Formule de la distance AB entre deux points A et B ?

A

Cette formule est dérivée du théorème de Pythagore.

How well did you know this?
1
Not at all
2
3
4
5
Perfectly
7
Q

Quelle est la propriété des diagonales d’un parallélogramme ?

A

Les diagonales d’un parallélogramme se coupent en leur milieu.

Cette propriété est essentielle pour prouver d’autres caractéristiques des parallélogrammes.

How well did you know this?
1
Not at all
2
3
4
5
Perfectly
8
Q

Condition pour qu’un triangle soit rectangle en A ?

A

AB^2 + AC^2 = BC^2

Vérifie la relation entre les longueurs des côtés d’un triangle.

How well did you know this?
1
Not at all
2
3
4
5
Perfectly
9
Q

Condition pour que trois points soient alignés ?

A

Les vecteurs sont colinéaires (l’un est un multiple de l’autre).

Cela implique que les points sont sur la même ligne droite.

How well did you know this?
1
Not at all
2
3
4
5
Perfectly
10
Q

Coordonnées de →AB si A(x₁,y₁) et B(x₂,y₂)

A

Représente le vecteur reliant les points A et B.

How well did you know this?
1
Not at all
2
3
4
5
Perfectly
11
Q

Condition de colinéarité de deux vecteurs (u(a,b) et v(c,d))

A

ad = bc

Indique que les vecteurs sont parallèles.

How well did you know this?
1
Not at all
2
3
4
5
Perfectly
12
Q

Propriété fondamentale des vecteurs (relation de Chasles)

A

→AB + →BC = →AC

Montre comment les vecteurs peuvent être additionnés.

How well did you know this?
1
Not at all
2
3
4
5
Perfectly
13
Q

Formule de la moyenne d’une série (valeurs xᵢ, effectifs nᵢ)

A

\bar{x} = \frac{\sum x_i n_i}{\sum n_i}

Utilisée pour calculer la moyenne pondérée.

How well did you know this?
1
Not at all
2
3
4
5
Perfectly
14
Q

Formule de la médiane ?

A

Valeur qui coupe la série ordonnée en deux groupes de même effectif.

La médiane est un indicateur de tendance centrale.

How well did you know this?
1
Not at all
2
3
4
5
Perfectly
15
Q

Qu’est-ce qu’un quartile ?

A

Q1 et Q3 coupent la série en quatre groupes égaux.

Utilisé pour analyser la dispersion des données.

How well did you know this?
1
Not at all
2
3
4
5
Perfectly
16
Q

Probabilité d’un événement A ?

A

P(A)=\frac{\text{cas favorables}}{\text{cas possibles}}

Représente la chance que l’événement se produise.

17
Q

Probabilité de l’événement contraire \bar{A}

A

P(\bar{A}) = 1 - P(A)

Montre la relation entre un événement et son complément.

18
Q

Probabilité d’une union d’événements incompatibles A et B ?

A

P(A\cup B)=P(A)+P(B)

Utilisé pour calculer la probabilité de deux événements qui ne peuvent pas se produire en même temps.

19
Q

Comment reconnaît-on une fonction affine ?

A

Elle s’écrit f(x)=ax+b

La forme générale d’une fonction affine.

20
Q

Sens de variation d’une fonction affine ?

A
  • si a>0 : f croît
  • si a<0 : f décroît

Indique comment la fonction se comporte selon la valeur de a.

21
Q

Définition d’une image et d’un antécédent

A
  • image : valeur f(x)
  • antécédent : nombre x tel que f(x)=y

Concepts clés en analyse fonctionnelle.

22
Q

Quelle est la solution d’une équation ?

A

La valeur de x qui rend l’égalité vraie.

Essentiel pour résoudre des problèmes algébriques.

23
Q

Comment résoudre une inéquation du type ax + b > 0 ?

A

Isoler x, en rappelant que si on multiplie/divise par un nombre négatif, on inverse le signe.

Important pour comprendre les inégalités.

24
Q

Produit scalaire de deux vecteurs u(x,y) et v(x’,y’)

A

u·v = xx’ + yy’

Utilisé pour déterminer l’angle entre deux vecteurs.

25
Condition pour que deux **vecteurs soient perpendiculaires** ?
Leur produit scalaire vaut 0. ## Footnote Indique que les vecteurs forment un angle droit.
26
Formule du produit scalaire avec **longueur et angle** ?
u·v = ||u||,||v||\cos(\theta) ## Footnote Relie le produit scalaire à la géométrie des vecteurs.
27
Quelle est la **propriété des diagonales** d’un **parallélogramme** ?
Les diagonales d’un parallélogramme se coupent en leur milieu. ## Footnote Cette propriété est essentielle pour prouver d'autres caractéristiques des parallélogrammes.