When should the chi-squared test be used?
How do you do the chi-squared test?

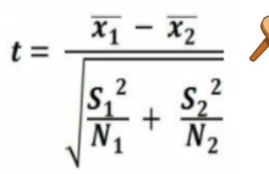
When should you use the student T-Test?
How do you use the student T-Test?

When should I use the Spearman Rank test?
When should the index of diversity be used?
What is normal distribution?
Bell shaped curve of continuous variation eg. height or weight
What is the mean?
max height of normal distribution curve
What is standard deviation?
distance from mean when curve change from being convex to concave - gives measure of range of value on either side of mean.