Matrix Flashcards

(21 cards)

1
Q

Matrice Multiplication Rules

A

example

How well did you know this?
1
Not at all
2
3
4
5
Perfectly
2
Q

Operation Rules

A
How well did you know this?
1
Not at all
2
3
4
5
Perfectly
3
Q

Square Matrice can multiply only if….

A
How well did you know this?
1
Not at all
2
3
4
5
Perfectly
4
Q

A matrice has an inverse matrice if only…

A

From colum idea,they don’t linear relevant in each column.

Or it doesn’t exist A*x=0.

Why?
Because A*x indicates x=0 but actually there are other solutions for x.

How well did you know this?
1
Not at all
2
3
4
5
Perfectly
5
Q

When will we introduce Gauss-Jordan’s idea to get inverse matrice ?

A
How well did you know this?
1
Not at all
2
3
4
5
Perfectly
6
Q

How to get inverse matrice: Gauss-Jordan’s idea

Firstly

A

Then we get I matrice on the left side

How well did you know this?
1
Not at all
2
3
4
5
Perfectly
7
Q

What’s the meaning of upper triangle matrix?

A

Upper triangular matrices have some nice properties. For example, they are straightforward to solve in systems of linear equations. Since there are no coefficients below the diagonal, we can use back-substitution to find the values of the unknown variables easily.

Additionally, the determinant of an upper triangular matrix is simply the product of its diagonal elements. This property makes computing determinants of upper triangular matrices relatively simple compared to general matrices.

How well did you know this?
1
Not at all
2
3
4
5
Perfectly
8
Q

矩阵公式总结 :

A
How well did you know this?
1
Not at all
2
3
4
5
Perfectly
9
Q

什么是逆矩阵?逆矩阵的规律?

A
How well did you know this?
1
Not at all
2
3
4
5
Perfectly
10
Q

如何用定义法求逆矩阵?

A

2x2 矩阵 伴随矩阵 的规律:主对角线对调,副对线 前面加一个 “-”

How well did you know this?
1
Not at all
2
3
4
5
Perfectly
11
Q

有关 抽象逆矩阵的题目 :

A
How well did you know this?
1
Not at all
2
3
4
5
Perfectly
12
Q

有关抽象逆矩阵的题目 :

hint :构造题目要求的

A
How well did you know this?
1
Not at all
2
3
4
5
Perfectly
13
Q

例题 :分块矩阵的计算

A
How well did you know this?
1
Not at all
2
3
4
5
Perfectly
14
Q

求分块矩阵的逆矩阵的规律?

A
How well did you know this?
1
Not at all
2
3
4
5
Perfectly
15
Q

例题 :计算分块矩阵的逆矩阵

A
How well did you know this?
1
Not at all
2
3
4
5
Perfectly
16
Q

2x2 矩阵 伴随矩阵 的规律:主对角线对调,副对线 前面加一个 “-”

17
Q

计算 常见矩阵(2x2 & 3x 3 矩阵)伴随矩阵 的方法

2x2 矩阵 伴随矩阵 的规律:主对角线对调,副对线 前面加一个 “-”

ps:图片显示的是求3x3矩阵

18
Q

特殊矩阵 归纳 :

A

单位矩阵也可以叫 I

19
Q

例题 : 矩阵运算(利用运算顺序可交换)

20
Q

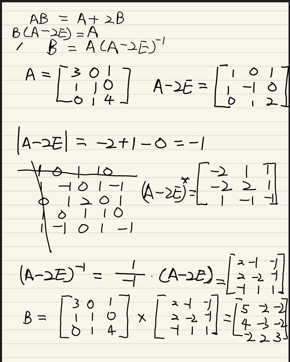
例题 : 利用逆矩阵计算 A*x = B

21
Q

例题 :分块矩阵计算矩阵n次方