mechanisms Flashcards

(16 cards)

1
Q

bromoethane + water

A

nucleophilic substitution
sn2

How well did you know this?
1
Not at all
2
3
4
5
Perfectly
2
Q

bromoethane + cyanide

A

nucleophilic substitution
sn1
extends carbon chain

How well did you know this?
1
Not at all
2
3
4
5
Perfectly
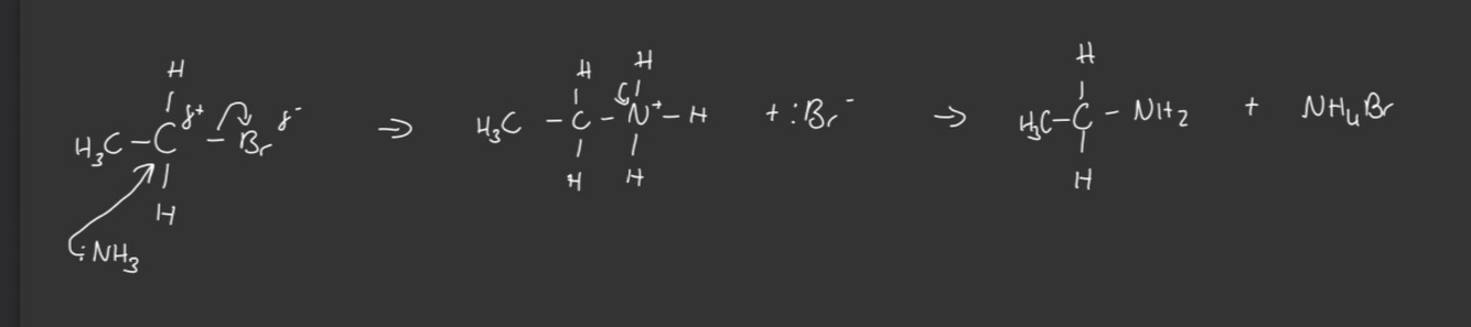
3
Q

bromoethane + ammonia

A

nucleophilic substitution
ammonia

How well did you know this?
1
Not at all
2
3
4
5
Perfectly
4
Q

propanal + cyanide

A

nucleophilic addition
extends the carbon chain

How well did you know this?
1
Not at all
2
3
4
5
Perfectly
5
Q

methanal + water
adit

A

nucleophilic addition

How well did you know this?
1
Not at all
2
3
4
5
Perfectly
6
Q

chlroromethanal + water
elim

A

nucleophilic elimination

How well did you know this?
1
Not at all
2
3
4
5
Perfectly
7
Q

chloromethanal + ammonia

A

nucleophilic elimination

How well did you know this?
1
Not at all
2
3
4
5
Perfectly
8
Q

ethene + halogen

A

electrophilic addition

How well did you know this?
1
Not at all
2
3
4
5
Perfectly
9
Q

ethene + hydrogen halide

A

electrophilic addition

How well did you know this?
1
Not at all
2
3
4
5
Perfectly
10
Q

nitration

A

electrophilic substitution
conc nitric and conc sulfuric acid
warm but not over 50*

How well did you know this?
1
Not at all
2
3
4
5
Perfectly
11
Q

bromination

A

electrophilic substitution

How well did you know this?
1
Not at all
2
3
4
5
Perfectly
12
Q

acylation

A

electrophilic substitution

How well did you know this?
1
Not at all
2
3
4
5
Perfectly
13
Q

alkylation

A

electrophilic substitution
extends the carbon chain
strucutal formula CH3CH2+ not C2H5

How well did you know this?
1
Not at all
2
3
4
5
Perfectly
14
Q

elimination of halogenoalkanes

A
How well did you know this?
1
Not at all
2
3
4
5
Perfectly
15
Q

acid catalysed elimination

A
How well did you know this?
1
Not at all
2
3
4
5
Perfectly
16
Q

acid catalysed hydration