Sign convention is that Qin and Wout are
positive
Brouwers Rules:
Rule 6
Ethics
Fundamental cannons of engineering ethics
Closed system
No transfer of mass
Open system
region of space through which mass flows
Change in energy of closed system
ΔE=ΔU+ΔKE+ΔPE
W>0 means work is done ____ the system
by
Q>0 means heat transfer ___ the system
to
Rankine Cycle Model

Rankine Cycle
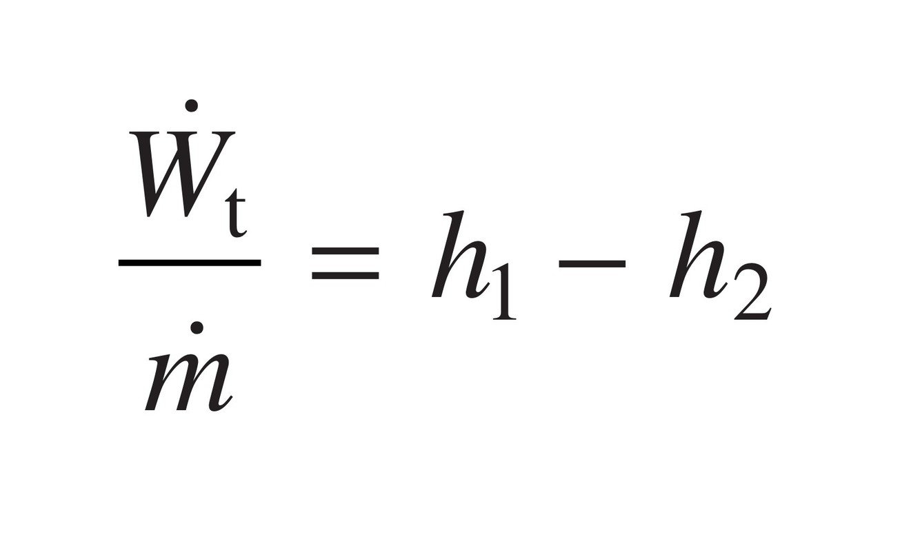
Turbine Work Equation

Rankine Cycle
Condenser Heat Transfer Eq

Rankine Cycle
Pump Work Eq

Rankine Cycle
Boiler Heat Transfer Eq

Rankine Cycle
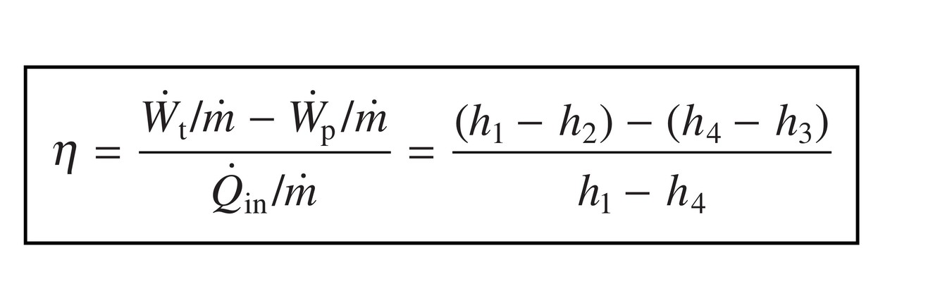
Thermal Efficiency

Rankine Cycle
Back Work Ratio

Rankine Cycle Processes
1-2
2-3
3-4
4-1

Rankine Cycle Ideal
TS Diagram

Rankine cycle
Increasing Boiler pressure (increases or decreases) thermal efficiency?
What is the TS diagram?
Increase

Rankine Cycle
Decreasing compressor pressure (increases or decreases) thermal efficiency?
What is the TS diagram?
Increases

Rankine cycle
Isentropic efficiency turbine

Rankine Cycle
Isentropic Pump Efiiciency

Rankine Cycle
Most significant source of irreversibility
combustion
Rankine Cycle
What is superheat?
Adding heat to vapor before entering the turbine so that the vapor is supereated
Rankine Cycle
The superheater in the cycle is a ___ and the combination of the boiler and superheater is called a ______.
heat exchanger
steam generator