Midterm 1 Flashcards

(16 cards)

1
Q

Kinematics

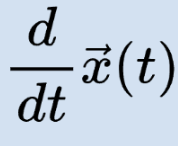
A

description/geometry of motion (no regard for causes)

How well did you know this?
1
Not at all
2
3
4
5
Perfectly
2
Q

Dynamics

A

relation between causes and effects (forces causing changes in motion)

How well did you know this?
1
Not at all
2
3
4
5
Perfectly
3
Q

Average velocity

A

slope of the secant line of position vs. time graph

How well did you know this?
1
Not at all
2
3
4
5
Perfectly
4
Q

Average speed

A

magnitude of velocity

How well did you know this?
1
Not at all
2
3
4
5
Perfectly
5
Q

Instantaneous velocity

A

slope of tangent line on position vs. time graph

How well did you know this?
1
Not at all
2
3
4
5
Perfectly
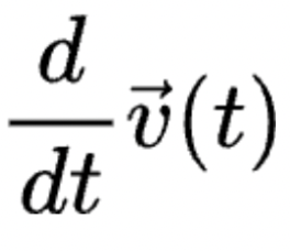
6
Q

Instantaneous acceleration

A

slope of the tangent line of velocity vs. time graph

How well did you know this?
1
Not at all
2
3
4
5
Perfectly
7
Q

Do positions change in different reference frames? Do displacements?

A

positions may be different in different reference frames, but displacements are the same

How well did you know this?
1
Not at all
2
3
4
5
Perfectly
8
Q

Inertial reference

A

frames at rest or moving with constant velocity with respect to each other

frames in which Newton’s Laws are the same

How well did you know this?
1
Not at all
2
3
4
5
Perfectly
9
Q

Galilean transformation for velocities

A

Although observers A & C are moving with constant relative motion, they DISAGREE about the values of velocity as seen in their frames. They AGREE that velocities are constant with no changes in motion.

How well did you know this?
1
Not at all
2
3
4
5
Perfectly
10
Q

Equation for displacement if velocity is constant:

A
How well did you know this?
1
Not at all
2
3
4
5
Perfectly
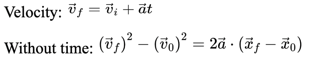
11
Q

Equation for velocity if acceleration is constant: with and without time

A
How well did you know this?
1
Not at all
2
3
4
5
Perfectly
12
Q

Equation for position if acceleration is constant:

A
How well did you know this?
1
Not at all
2
3
4
5
Perfectly
13
Q

Centripetal acceleration

A

always directed towards the center of the circle

How well did you know this?
1
Not at all
2
3
4
5
Perfectly
14
Q

Newton’s 1st Law

A

Body will continue at rest or in motion with constant velocity (along a straight line) unless there is a non-zero force that changes its motion.

How well did you know this?
1
Not at all
2
3
4
5
Perfectly
15
Q

Newton’s 2nd Law

A

F = ma

How well did you know this?
1
Not at all
2
3
4
5
Perfectly
16
Q

Newton’s 3rd Law

A

F12 = -F21

For every action there is an opposite and equal reaction (force cannot act only one way)