Mobius Flashcards

(39 cards)

1
Q

When a gas, liquid or solid is mechanically disturbed, ____ waves are produced

A

sound

How well did you know this?
1
Not at all
2
3
4
5
Perfectly
2
Q

Speed of sound is defined as

A

frequency x wavelength

How well did you know this?
1
Not at all
2
3
4
5
Perfectly
3
Q

What happens when the frequency of the driving force equals natural frequency of the system?

A

Resonance

How well did you know this?
1
Not at all
2
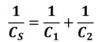
3
4
5
Perfectly
4
Q

Percieved loudness can be measured as

A

Logmarithmic

How well did you know this?
1
Not at all
2
3
4
5
Perfectly
5
Q

When

  • sound waves reaching observer perceived to be at a more frequent rate
  • Sound waves compressed into shorter distance

The source of sound is moving?

A

towards the observer

How well did you know this?
1
Not at all
2
3
4
5
Perfectly
6
Q

When

  • sound waves reaching observer perceived to be at a less frequent rate
  • Sound waves expanded into longer distance

The source of sound is moving?

A

away from the observer

How well did you know this?
1
Not at all
2
3
4
5
Perfectly
7
Q

Frequency greater than range of human hearing

A

Ultrasound

How well did you know this?
1
Not at all
2
3
4
5
Perfectly
8
Q

All waves are subject to

A

diffraction

How well did you know this?
1
Not at all
2
3
4
5
Perfectly
9
Q

Light can become polarised by

A
  • Reflection
  • Refraction
  • Scattering
How well did you know this?
1
Not at all
2
3
4
5
Perfectly
10
Q

Concerning the interaction of light with matter

A

optics

How well did you know this?
1
Not at all
2
3
4
5
Perfectly
11
Q

Light rays will travel in a ____ line if they remain in the same medium

A

straight

How well did you know this?
1
Not at all
2
3
4
5
Perfectly
12
Q

At the boundary between two media, the light ray can change direction by

A

reflection or refraction

How well did you know this?
1
Not at all
2
3
4
5
Perfectly
13
Q

Index of refraction changes for different wavelength.

A

Snell’s Law

How well did you know this?
1
Not at all
2
3
4
5
Perfectly
14
Q

Image is:
* virtual
* upright
* magnified

A

Object at a distance* less* than the focal
length from the lens

How well did you know this?
1
Not at all
2
3
4
5
Perfectly
15
Q

Virtual image always produced by a ____ lens

A

concave

How well did you know this?
1
Not at all
2
3
4
5
Perfectly
16
Q

If the focal length is positive, it is a ____ lens.

17
Q

If the focal length is negative, it is a ____ lens.

18
Q

If the image distance is positive, the image is

19
Q

If the image distance is negative, the image is

20
Q

If the magnification is positive, then the image is

21
Q

If the magnification is negative, then the image is

22
Q

Contributes only about 20-25% of the refractive power of the eye

23
Q

Regulates the amount of light entering the eye by controlling the diameter of the pupil

24
Q

The spreading of light as it passes through an aperature or
passes by the edge of an object

25
Total amount of charge in universe
Constant
26
Electric field lines show
* direction of the force * indicate its relative magnitude
27
Voltage is defined as
the change in electric potential energy per charge as charge q moves from A to B | potential energy per unit charge
28
If charge moves in the direction it would normally move in the presence of electric field, the potential energy is
decreasing
29
If you move the charge in the opposite direction of the electric force, the potential energy is
increasing
30
Electrical capacitance is
the ability to store charge | Capacitance = charge / volts
31
Electric current is defined as
I = Q/t | Charge flowing per second
32
Anything in the circuit that impedes the current is called
Resistance
33
Ohms Law
V=IR
34
How do you calculate Resistance in series?
Sum of all the resistances
35
How do you sum the resistance in parallel?
36
Power is defined as
Current x Voltage | or Energy / time
37
How do you calculate capacitance in series?
38
How do you calculate capacitance in parallel?
Sum of the capacitances
39
In ____ the magnetic effects of the electrons do not fully cancel each other out, atoms then are like tiny magnets.
ferromagnetic materials