Pricing the derivative by forming a replicating portfolio
To form a replicating we use the underlying stock and a risk free bond.
Strategy:
Calculating Cu and Cd
Cu = Δe𝛿hS0u + Berh
Cd = Δe𝛿hS0d + Berh
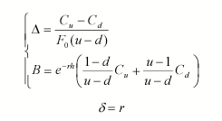
Calculating Δ for the replicating portfolio
Note: Δ can be thought of as the sensitivity of the option to a change in the stock price. It will be positive for a call and negative for a put.

Calculating B for the replicating portfolio

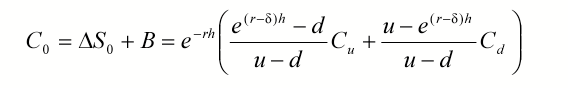
Calculating the price of the replicating portfolio at time 0,
C<span>0</span>

Arbitrage a mispriced option
REMEMBER: Buy low, sell high
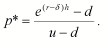
Calculating the risk-neutral probability,
p*
p*: the risk-neutral probability of an increase in the stock price. Used in the risk neutral world. Is not the true probability that the stock price will go up.

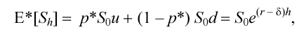
Risk-neutral pricing formula based on a one-period binomial tree

The expectation in the risk-neutral world,
E*

Volatility, σ
The volatility of a stock, σ, is the standard deviation of the stock return
Estimating u and d using a forward tree

Estimating u and d using a Cox-Ross-Rubenstein Binomial Tree

Estimating u and d using a Lognormal/Jarrow-Rudd Binomial Tree

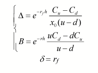
Calculating Δ and B for an option on a currency
Where rf is the foreign risk-free rate and xo is the exchange rate at t = 0

Calculating u and d if the annualized volatility of the exchange rate is given (for a option on a currency)

The put-call parity for options on currencies

Calculating Δ and B for the replicating portfolio for futures contracts

The put-call parity for futures options

Calculating p* if the annualized volatility of the exchange rate if given (for options on currencies)
p*

Calculating u and d if a volatility is given (for futures contracts)
