mortality rate
number of deaths/population
what is population health
Health outcomes of a group of individuals including the distribution of such outcomes within the group
measures of socioeconomic status
occupation, income, education level, living standards, deprivation (NZDep)
what determines health

morbidity
any departure from psychological or physical wellbeing
what is a DALY
demographic transition model

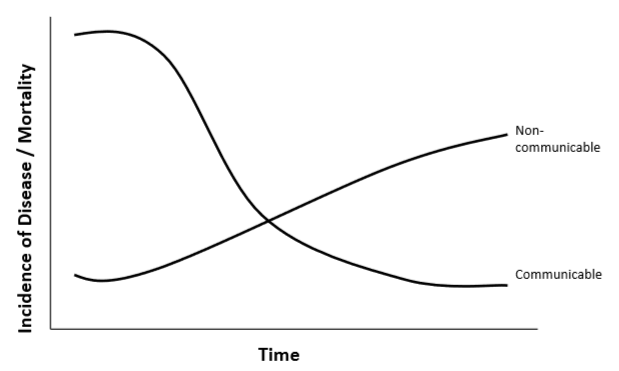
epidemiological transition model
Changes in population disease patterns over time
